EasyManua.ls Logo

Gree LIVV24HP230V1A Series - Communication Malfunction E6

Gree LIVV24HP230V1A Series
120 pages
To Next Page IconTo Next Page
To Next Page IconTo Next Page
To Previous Page IconTo Previous Page
To Previous Page IconTo Previous Page
Loading...
122
Service Manual
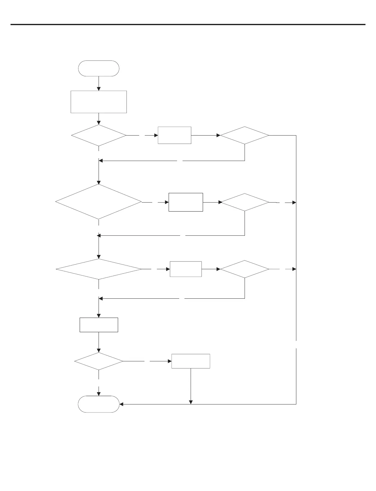
7. Communication malfunction E6
Start
Cut off power supply. Check if
connection line of IDU and ODU
and the wire inside electric box
are correctly connected.
Correct connection?
Main board matches
with display board? Main board of
IDU matches with that of ODU?
Communication cord is damaged?
Replace IDU's
main board
Malfunction eliminated?
End
Connect the line
according to
wiring diagram.
Match correctly
according to product
specification
Replace
communication
cord
Replace ODU's
main board.
Malfunction eliminated?
Malfunction eliminated?
Malfunction eliminated?
yes
yes
yes
yes
ye
s
yes
yes
no
no
no
no
no
no
no
68

Table of Contents

Related product manuals