EasyManua.ls Logo

Grin Technologies Cycle Satiator - Charge Profile Chemistry: Lithium; Lithium Charging Algorithm

Grin Technologies Cycle Satiator
21 pages
Print Icon
To Next Page IconTo Next Page
To Next Page IconTo Next Page
To Previous Page IconTo Previous Page
To Previous Page IconTo Previous Page
Loading...
www.ebikes.ca/satiator
info@ebikes.ca
+1(604) 569-0902
- 13 -
charge that only gives a 80% charge level at a modest current in order to maximize battery
cycle life, but on occasion you may want to do a rapid 8A charge for quick top-up, or give it the
full 100% charge when maximum range is needed. Since the one battery is compatible with all
of these profiles, it is safe to have a default that will start charging automatically.
If you routinely switch between non-compatible batteries (different voltages or chemistries), then
you should not use the default profile feature. That way you will always need to explicitly select
the correct output for the battery being charged.
4. Charge Profile Details
When creating custom battery profiles it is important to understand the charge algorithm for the
chemistry at hand. This is intended as an introductory explanation, but further research from
your battery supplier would be recommended for creating a profile ideally suited for their packs.
4.1. Lithium
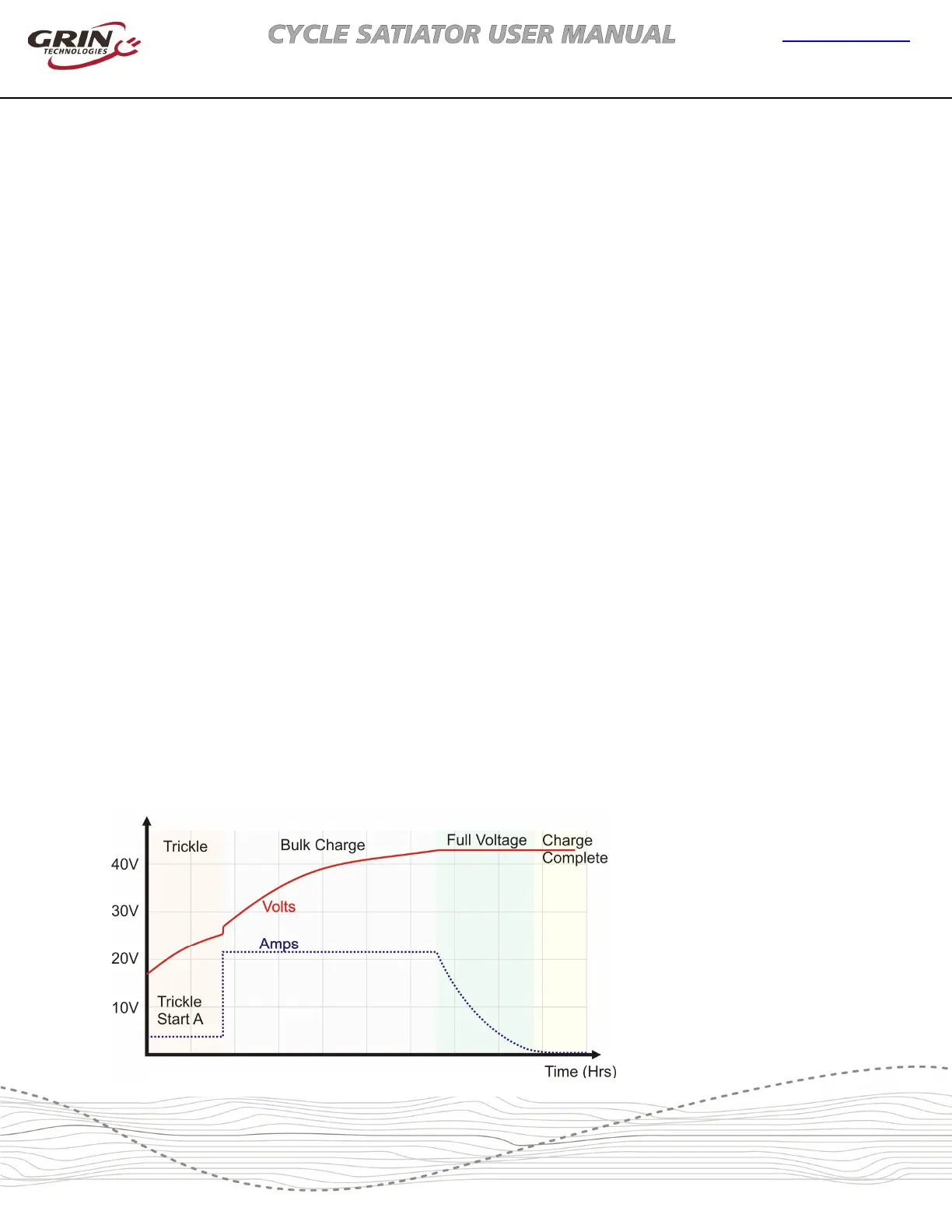
The lithium battery has a straightforward charge strategy. The battery is bulk charged at a
constant current until the full charge voltage is reached. At that point, the charger maintains the
full voltage while the charging current naturally decreases in an exponential decay. Once the
current gets close to zero amps, the battery is full and the charger says Charge Complete.
If the lithium battery is deeply discharged but not so deep as to cause permanent cell damage
(typically between 2.0-2.7 V/cell), then it is advisable to start the charging process at a low
trickle current until a safe voltage is reached, and only then switch to the full bulk charge
current. If the battery is deeply discharged to a point where any individual cell is dangerously
low (typically less than 1.5-2.0V/cell), then a recharge should not be attempted. The low cells
may appear to recover, but can exhibit reduced capacity, internal leakage currents, high
impedance, and a propensity to catch fire.
Figure 22: Charging Graph of a 36V Lithium Pack