EasyManua.ls Logo

HBK 4231 - Characteristics; Influence of Ambient Pressure

HBK 4231
94 pages
Print Icon
To Next Page IconTo Next Page
To Next Page IconTo Next Page
To Previous Page IconTo Previous Page
To Previous Page IconTo Previous Page
Loading...
11Sound Calibrator Type 4231
User Manual
Chapter 3
Characteristics
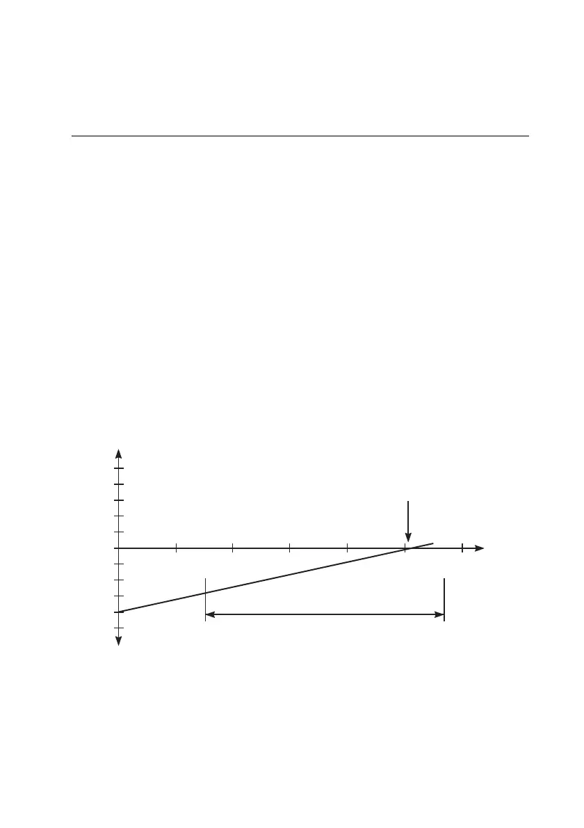
3.1 Influence of Ambient Pressure
For normal use, the influence of atmospheric pressure on the sound
pressure level produced by the calibrator is so small that you can ignore it.
Fig.3.1 shows the effect that variations in atmospheric pressure have
on the sound pressure level produced. It is a linear relationship caused
by changes in the sensitivity of the calibrator’s reference microphone
which varies directly with changes in static pressure.
Fig.3.1 Typical variation of sound pressure level as a function of static pressure at 23 °C
930279/2
0.05
60 70 80 90 100 11050
10865
Typical
IEC 60942
Specificaon range
Calibraon point
101.3 kPa
Atmospheric
pressure
in kPa
Calibraon deviaon in dB
– 0.04
– 0.05

Table of Contents

Related product manuals