EasyManua.ls Logo

HBK 4231 - Eigenschaften; Einfluss des Umgebungsdrucks

HBK 4231
94 pages
Print Icon
To Next Page IconTo Next Page
To Next Page IconTo Next Page
To Previous Page IconTo Previous Page
To Previous Page IconTo Previous Page
Loading...
11Schallkalibrator Typ 4231
Bedienungshandbuch
Kapitel 3
Eigenschaften
3.1 Einfluss des Umgebungsdrucks
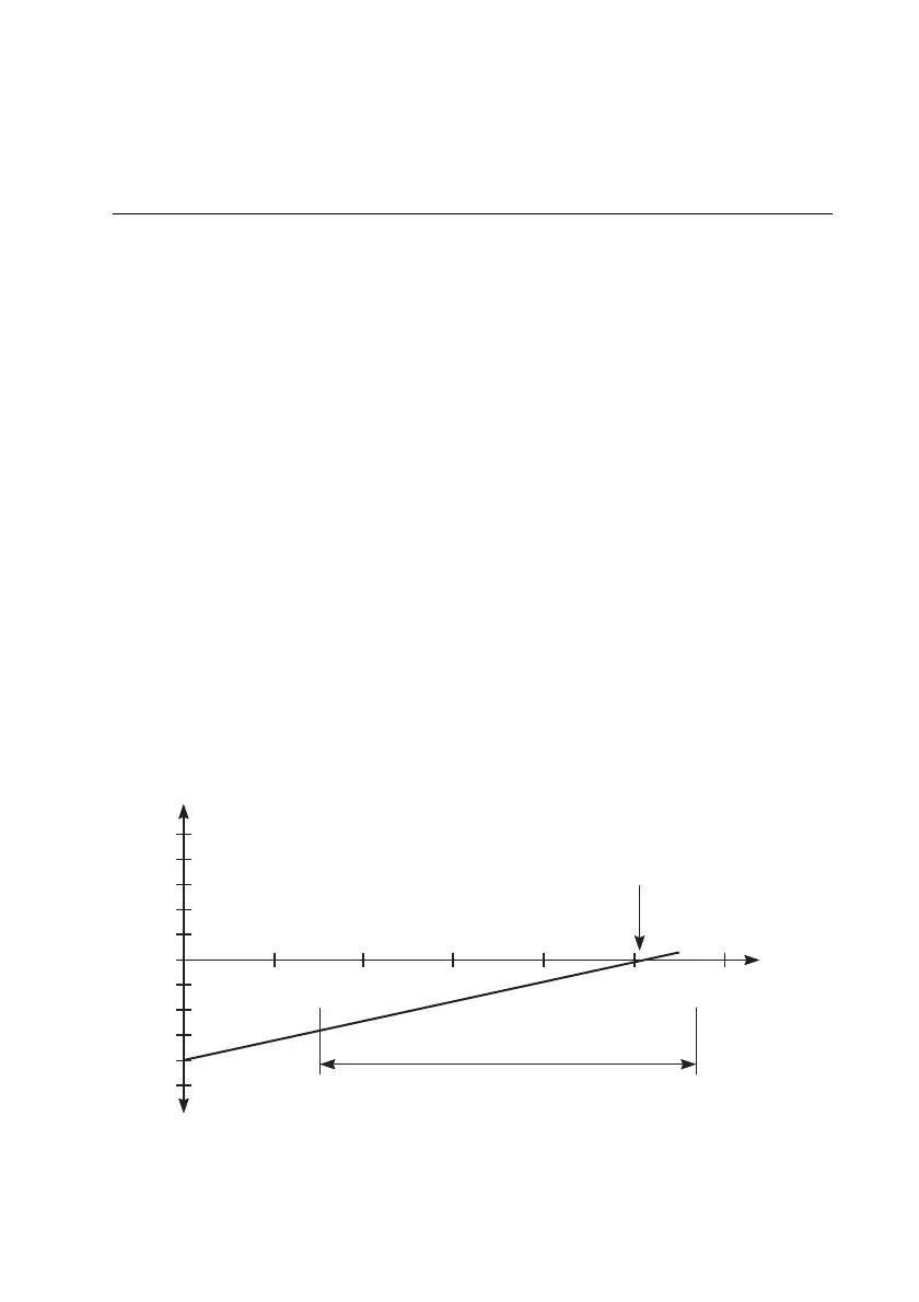
Bei normalem Betrieb ist der Einfluss des atmosphärischen Luftdrucks
auf den vom Kalibrator erzeugten Schalldruckpegel vernachlässigbar
gering.
Abb.3.1 zeigt den typischen Einfluss von Schwankungen im
atmosphärischen Druck auf den erzeugten Schalldruckpegel. Es
handelt sich um eine lineare Beziehung, da die Änderungen der
Empfindlichkeit des Bezugsmikrofons im Kalibrator mit den
Änderungen des statischen Drucks in direktem Zusammenhang
stehen.
Abb.3.1 Typische Schalldruckpegelschwankungen als Funktion des statischen Drucks
bei 23
C
930279/2
0.05
60 70 80 90 100 11050
10865
Typisch
IEC 60942
Spezifizierter Bereich
Kalibrierpunkt
101,3 kPa
Atmosphärischer
Ludruck
in kPa
Kalibrierabweichung in dB
– 0.04
– 0.05

Table of Contents

Related product manuals