EasyManua.ls Logo

HBK 4231 - Caractéristiques; Influence de la Pression Ambiante

HBK 4231
94 pages
Print Icon
To Next Page IconTo Next Page
To Next Page IconTo Next Page
To Previous Page IconTo Previous Page
To Previous Page IconTo Previous Page
Loading...
11Calibreur acoustique Type 4231
Manuel de l’utilisateur
Chapitre 3
Caractéristiques
3.1 Influence de la pression ambiante
En règle générale, l’influence de la pression atmosphérique sur le
niveau de pression acoustique fourni par le Calibreur est trop faible
pour être significative, et elle peut donc être considérée comme
négligeable.
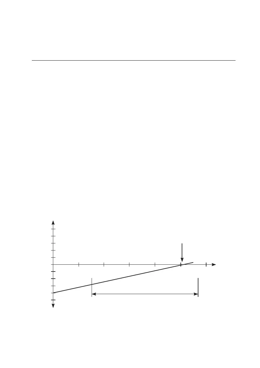
La Fig.3.1 illustre l’influence de la pression atmosphérique sur le niveau
de pression acoustique fourni par le calibreur. La relation est de type
linéaire, toute variation de la pression statique se reflétant directement
sur la sensibilité du microphone de référence incorporé.
Fig.3.1 Variation typique du niveau de pression acoustique en fonction de la pression
atmosphérique à 23
C
930279/2
0,05
60 70 80 90 100 11050
10865
Typique
CEI 60942
Gamme de spécificaon
Point de calibrage
101,3 kPa
Pression
atmosphérique
en kPa
Déviaon en dB
– 0,04
– 0,05

Table of Contents

Related product manuals