EasyManua.ls Logo

Heat Controller BHD-301 - Troubleshooting; Dehumidifier Does Not Dry Air Properly

Heat Controller BHD-301
55 pages
Print Icon
To Next Page IconTo Next Page
To Next Page IconTo Next Page
To Previous Page IconTo Previous Page
To Previous Page IconTo Previous Page
Loading...
16 Dehumidifier
The more moisture in the room air, the
longer it takes for the room air to
become dry.
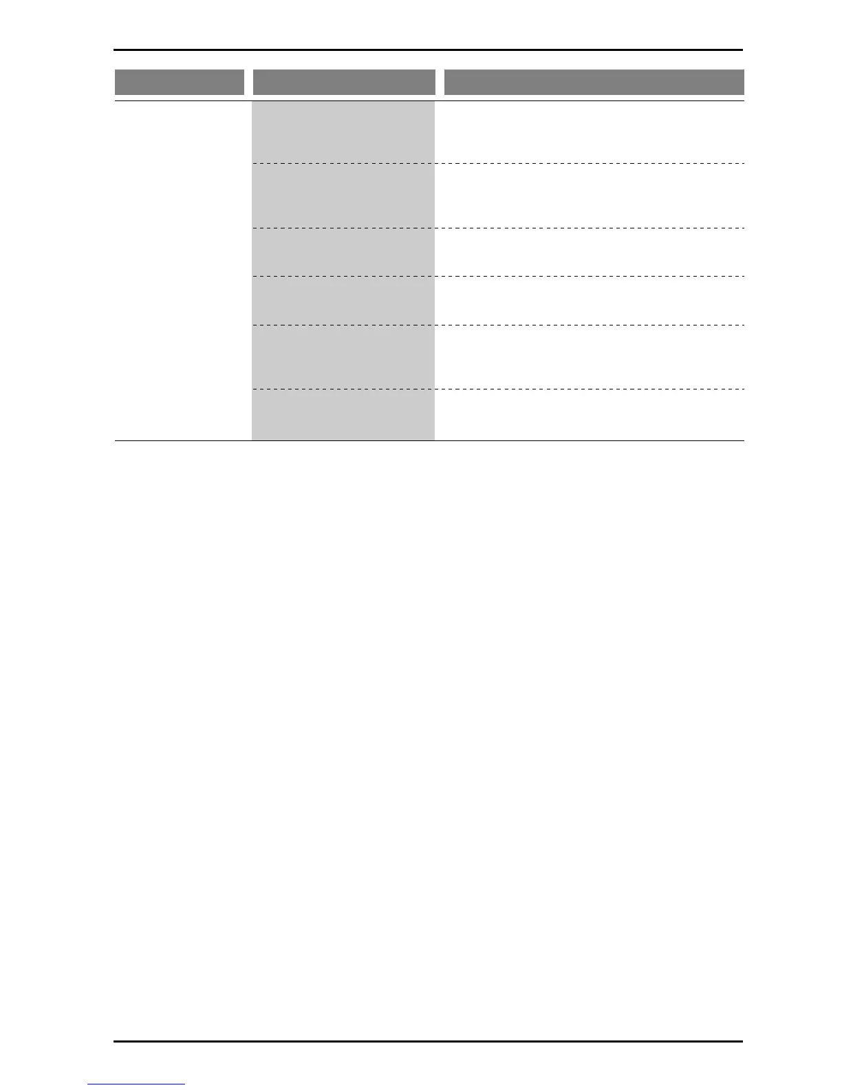
Problem Possible Causes What To Do
Dehumidifier does
not dry the air as
it should
Dehumidifier has been
installed or restarted
recently.
Airflow is restricted.
Make sure there are no curtains, blinds, or
furniture blocking the front or back of the
dehumidifier.
The control may not be set
high enough.
Turn the knob to a higher number.
Doors and windows may
not be closed tightly.
Check that all doors, windows, and other
openings are securely close.
Clothes dryer may be
blowing moisture-laden air
into the room.
Install the dehumidifier away from the dryer.
Dryer should be vented to the outside.
Room temperature is too
low.
The unit will not operate satisfactorily if the
room temperature is below 65°F (18°C.)
Maintenance and Service

Other manuals for Heat Controller BHD-301

Related product manuals