EasyManua.ls Logo

Heat Controller BHD-651-G - Page 13

Heat Controller BHD-651-G
17 pages
Print Icon
To Next Page IconTo Next Page
To Next Page IconTo Next Page
To Previous Page IconTo Previous Page
To Previous Page IconTo Previous Page
Loading...
Heat Controller, Inc. Portable Dehumidier with R-410A BHD-G Service Manual
12
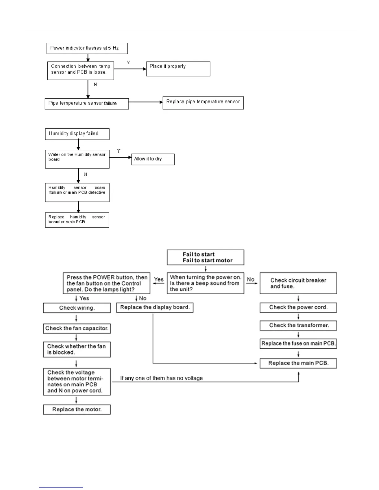
6.3.3 Humidity sensor check
6.3.4 Fail to start or fail to start motor

Related product manuals