EasyManua.ls Logo

Hitachi AP1 - Page 26

Hitachi AP1
378 pages
Print Icon
To Next Page IconTo Next Page
To Next Page IconTo Next Page
To Previous Page IconTo Previous Page
To Previous Page IconTo Previous Page
Loading...
I
I
I
I
I
QUALITY
ASSURANCE
----------------------
quality factors.
lot
inspection is executed based
on
Mll-STO-1050.
department for products
which
were judged good
in
100% test
...
the final process in manufac-
turing. Though
100% yield is expected, sampling
fnspection
is executed to prevent mixture of bad
product by mistake. The inspection is executed not
only to confirm that the products have met the
users' requirements but
also to consider potential
(2) Reliability Assurance Tests
Report
Quality
Assurance Dept.
Report
To
assure the reliability of semiconductor devices,
reliability tests and tests on individual manufac-
turing
lots
that
are required by the user, are peri-
odically performed.
Failure Analysis
Countermeasure
Execution
of
Countermeasure
Follow-up and
Confirmation
of
Countermeasure Execution
L
___________
_
--------------------~
Sales
Engineering Dept.
Reply
Customer
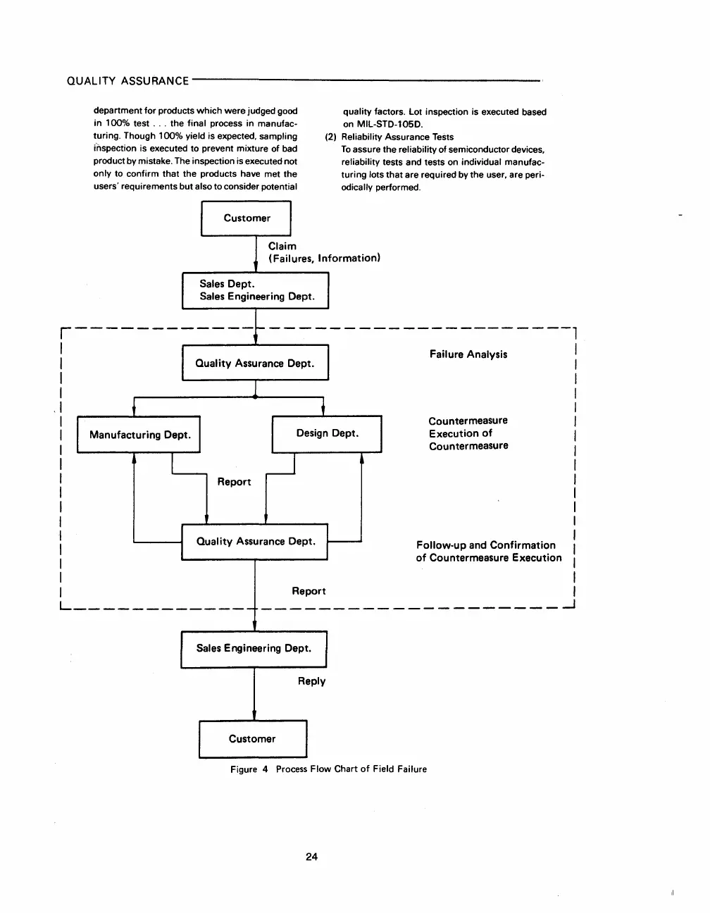
Figure 4 Process
Flow
Chart
of
Field Failure
24