EasyManua.ls Logo

Honda BF35A - Page 290

Honda BF35A
431 pages
Print Icon
To Next Page IconTo Next Page
To Next Page IconTo Next Page
To Previous Page IconTo Previous Page
To Previous Page IconTo Previous Page
Loading...
BF40AoBF50A
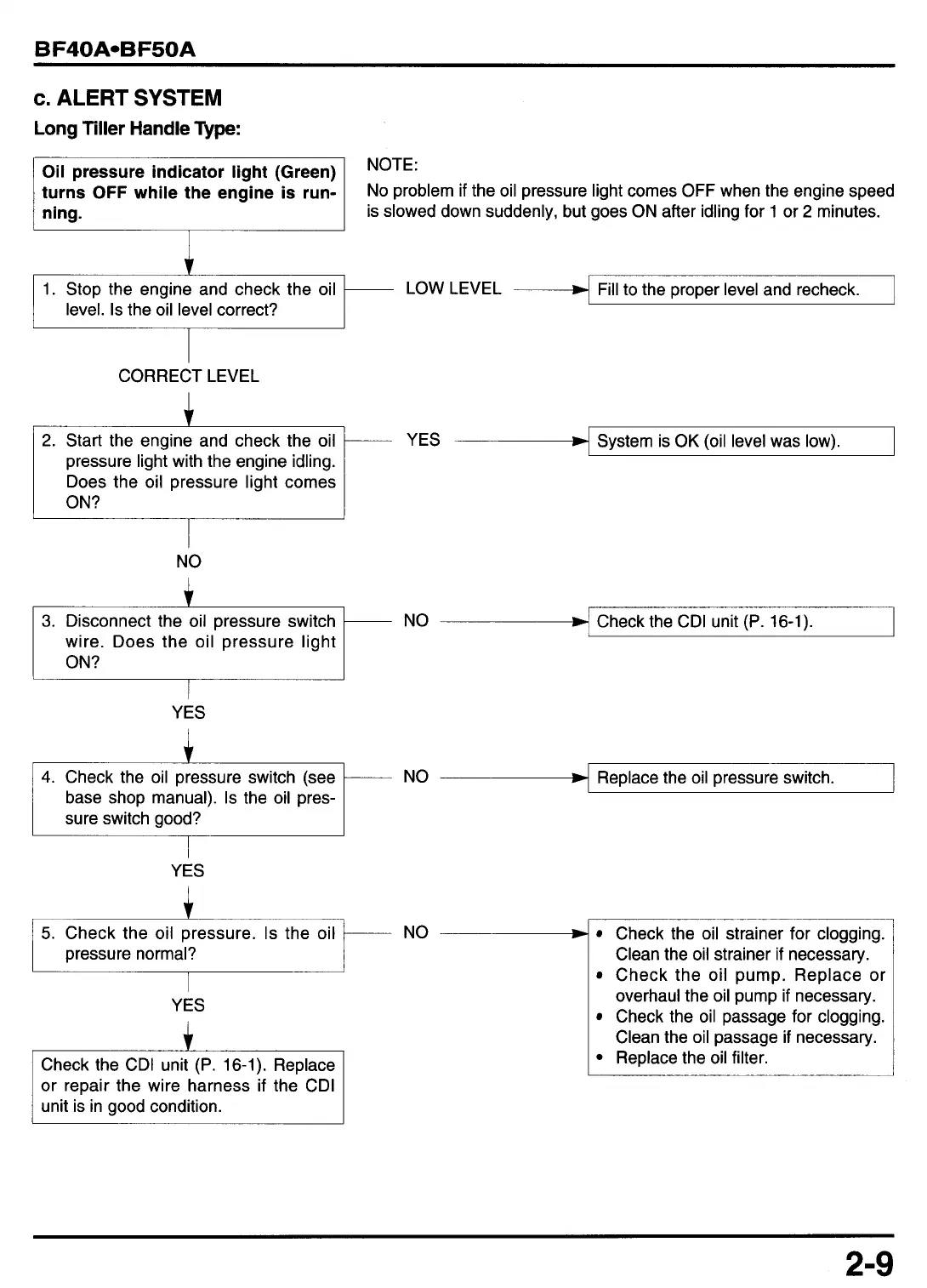
1.
Stop the engine and check the oil
level.
Is
the oil level correct?
c.
ALERT
SYSTEM
Long Tiller Handle
Type:
NOTE:
is slowed down suddenly, but goes ON after idling for
1
or
2
minutes.
No problem if the oil pressure light comes
OFF when the engine speed
ning.
LOW LEVEL
I
CORRECT LEVEL
System is
OK
(oil level was low).
pressure light with the engine idling.
Does the oil pressure light comes
I
NO
wire. Does the oil pressure light
I
YES
4.
Check the oil pressure switch (see
base shop manual).
Is
the oil pres-
Replace the oil pressure switch.
.No
sure switch good?
I
YES
.1
5.
Check the oil pressure.
Is
the oil
pressure normal?
YES
c
Check the CDI unit
(P.
16-1).
Replace
or repair the wire harness
if
the CDI
unit is in good condition.
Check the oil strainer for clogging.
Clean the oil strainer if necessary.
Check the oil pump. Replace or
overhaul the oil pump if necessary.
Check the oil passage for clogging.
Clean the oil passage
if
necessary.
Replace the oil filter.
2-9

Related product manuals