EasyManua.ls Logo

HP Designjet 4000

HP Designjet 4000
268 pages
To Next Page IconTo Next Page
To Next Page IconTo Next Page
To Previous Page IconTo Previous Page
To Previous Page IconTo Previous Page
Loading...
16
The problem is with the paper
The problem is the paper cannot be loaded successfully
The problem is a paper jam (paper stuck in the printer)
The problem is prints do not stack properly in the bin
The problem is the printer uses a lot of paper to align the printheads
The problem is the paper cannot be loaded
successfully
The paper may be loaded at an angle (skewed). Check that the right-hand edge
of the paper is aligned with the half-circle on the right-hand side of the platen and,
particularly in the case of sheet paper, that the leading edge is aligned with the
metal bar in the platen.
The paper may be crumpled or warped, or may have irregular edges.
Rolls
If the paper gets stuck in the paper path to the platen, it may be that the leading
edge of the paper is not straight or clean, and needs to be trimmed. Remove the
initial 2 cm (1 in) from the roll and try again. This may be necessary even with a
new roll of paper.
Check that the spindle is correctly inserted. The blue spindle lever on the right
should be in the horizontal position.
Check that the paper is correctly loaded on the spindle, and that it loads over the
roll towards you.
Check that the paper is wound tightly on the roll.
Sheets
Check that the leading edge of the sheet is aligned with the cutter channel in the
platen.
Do not use hand-cut sheets, which may be of irregular shapes. Use only
purchased sheets.
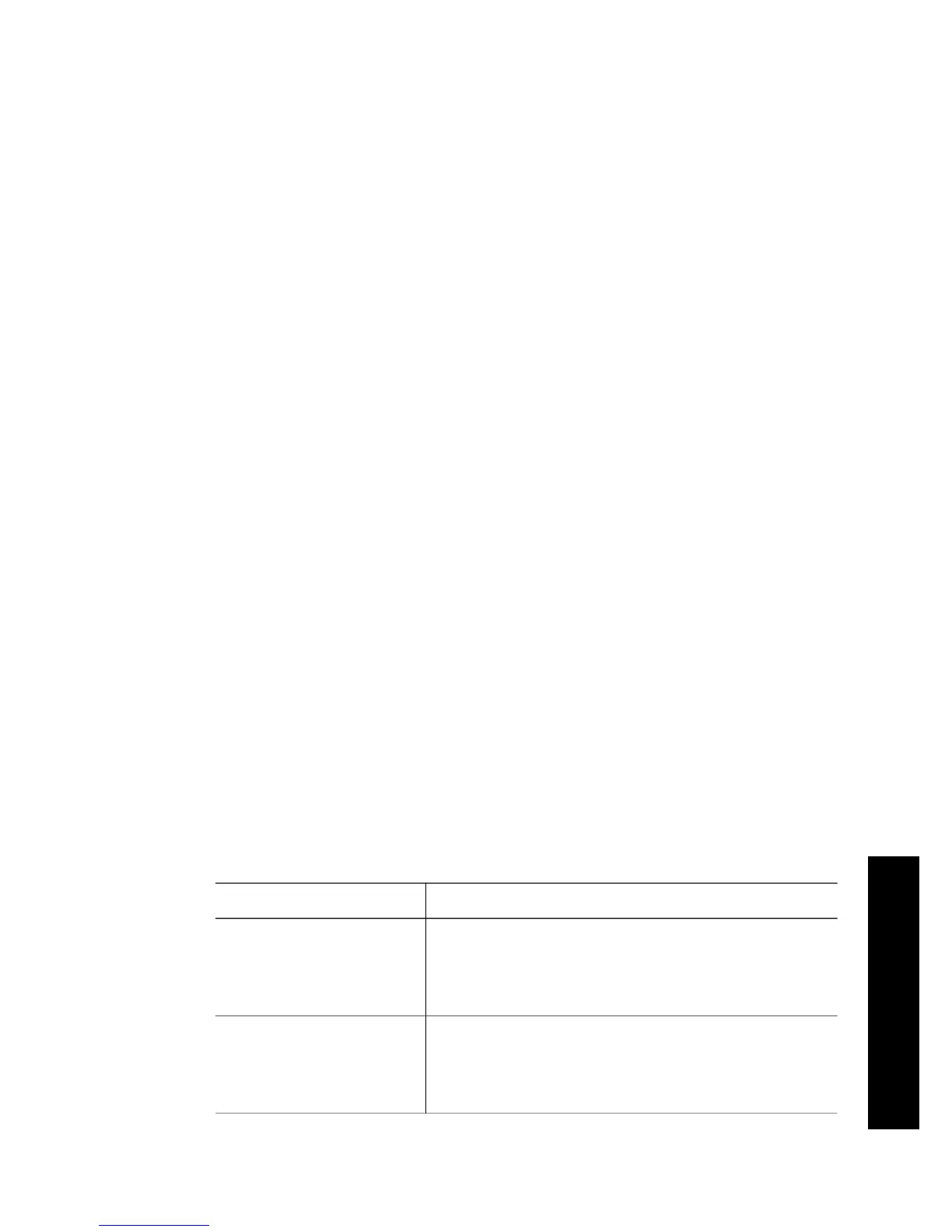
Here is a list of front panel messages related to paper loading, with the suggested
corrective action.
Front panel message
Suggested action
Right edge of roll too far
from load line.
The roll has not been loaded correctly, the right–
hand edge was not aligned with the half–circle on
the platen. Press the Select key to try to load the
roll again.
Right edge of sheet too
far from load line.
The sheet has not been loaded correctly, the right–
hand edge was not aligned with the half-circle on
the platen. Press the Select key to try to load the
sheet again.
209
The problem is with the paper

Other manuals for HP Designjet 4000

Related product manuals