EasyManua.ls Logo

Kohler 20EKOZD - Page 235

Kohler 20EKOZD
360 pages
Print Icon
To Next Page IconTo Next Page
To Next Page IconTo Next Page
To Previous Page IconTo Previous Page
To Previous Page IconTo Previous Page
Loading...
235Section 12 Paralleling System InformationTP-6953 7/19
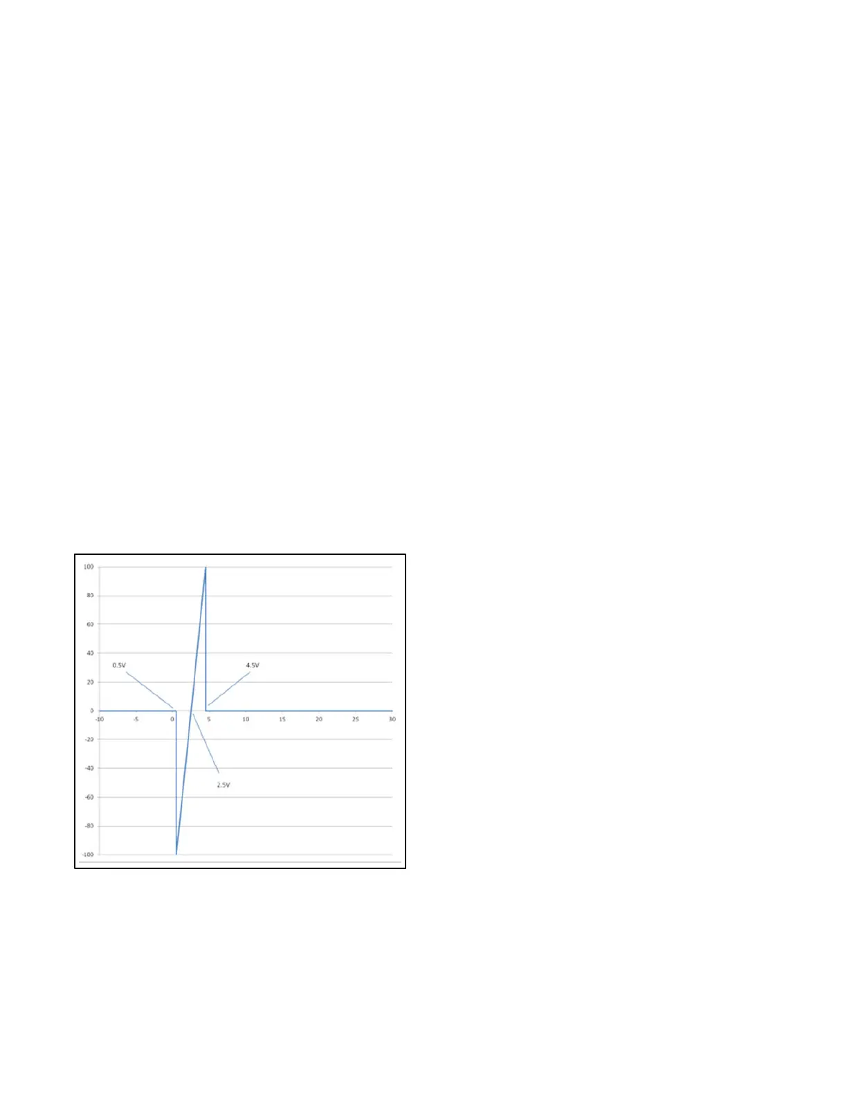
Voltage Bias
The amount that the controller is attempting to adjust the
output voltage (100% bias = +10% on the output
voltage, -100% = -10% on the output voltage). The
controller adjusts the voltage bias to m atch the
generator voltage to the bus voltage.
Note: The Voltage Bias can also be controlled by an
external device if the External Bias Inputs
Enabled parameter is true, the Stand Alone
Operation parameter is false, no generators are
visible on the PGEN communications channel,
and the voltage applied to the voltage bias input is
between 0.5V and 4.5V.
The External Voltage Bias Input (VBP a nd VBN) is a
voltage measuring channel capable of reading from
-10V to 30V DC. The input is normally pulled down to
-3.3V, but can be overridden by applying a voltage to the
input.
The voltage that the controller sees on the voltage
measuring channels is visible in the Analog Voltage
Input Metered Relative Value under the Programmable
Analog Voltage Input I07 heading. The input is polarity
sensitive.
The Voltage Bias is interpreted by the cont roller as
illustratedinFigure12-9.
Range: - 100.00% 100.00%
Default: 0.00% **Not Writable**
Figure 12 -9 Voltage Bias
Stand Alone Operation
This Parameter forces the controller to solve paralleling
logic, even when it is not seeing PGEN communications
with another generator. This is intended for applications
where the generator is equipped with a motor operator
that is controlled by the generator controller, but that the
generator is equipped with a motor-operated breaker
(either for disconnection means, baseload capability, or
to allow for the installation of additional units in the
future). Standalone mode is not necessary and should
not be enabled in applications where multiple
generators are in communication over PGEN or in
applications where the generator is controlled by
external gear that also controls the circuit breaker.
Standalone Operation can be configured as a digital
input, allowing the ability to turn paralleling functionality
on remotely.
Range: False - True
Default: False
Load Enable
Load Enable allows the generator controller to ramp to a
target load in any of the power control modes. A
controller will attempt to control load to 0% load when
load enable is false, resulting in decreasing bus
frequency when a single generator is supplying the load
and severe load disparities when in parallel with other
generators.
If Load Enable is removed after having been applied, the
generator will soft-unload and trip its circuit breaker
when the output power reaches the kW Disconnect
Level.
Load Enable should remain on except when being used
for testing, as it can cause loss of functionality that can
be rather difficult to troubleshoot.
Load Enable can be configured to be a digital input to the
controller, allowing external gear to signal the generator
to unload and trip its breaker.
Range: False - True
Default: True

Other manuals for Kohler 20EKOZD

Related product manuals