EasyManua.ls Logo

Kyosho VIPER - ASSEMBLY GUIDELINES AND TIPS; HELPFUL TIPS AND PRECAUTIONS

Kyosho VIPER
12 pages
Print Icon
To Next Page IconTo Next Page
To Next Page IconTo Next Page
To Previous Page IconTo Previous Page
To Previous Page IconTo Previous Page
Loading...
Important! Before You Begin
Th
is
is a sophisticated model with a large number of moving parts. Before you 8.)
Avoid using power screwdrivers when assembling your kit.. They
tend
to
overtighten screws.
begin assembly, take a look through the box
and
these instructions carefully to
decide whether or
not
you
are
ready for this challenge!
If
you
do
not
think
th
at
this type of model is for you,
it
may be returned to the dealer as long
as
it
is 9.)
Take your time and read the directions thoroughly.
It's not how fast
you can assemble the kit but
how
fast it goes once assembled.
NEW and UNUSED. UNDER
NO CIRCUMSTANCES CAN YOUR DEALER
ACCEPT A KIT FOR RETURN IF ASSEMBLY
HAS
ALR
EADY BEGUN! If this
is not what you bargained for, then
go
no further and return this kit to
the
dealer 1 0.)
Trial
fi t
all
parts
to
ensure
proper
li
t
belore
attaching
them
permanently.
immed
ia
tely. BUT, if a little maintenance, doesn't bother you, and the thrill
of
high performance boating is for you, then don't hesitate another minute! IT IS
VERY
IMPORTAN
T
TO
read
through
this
entire
manual
thoroughly
to 11.)
Do not
use
excessive Ioree when tighteni
ng
sell-tappi
ng
type
screws
into plastic. Overtightening will cause the threaded portion ol
the
plastic to strip.
It
is
recommended
to
stop tightening when some
resistance is felt after the threaded portion enters the plastic.
familiarize yourself with the parts and methods
of
construction used BEFORE
actually starting
to
build.
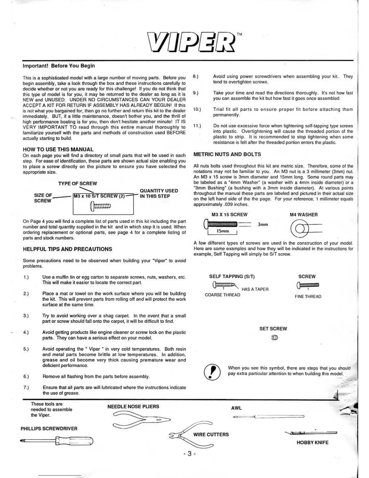
HOW
TO
USE THIS
MANUAL
On each page you will find a directory
of
small pans that will be used in each
step. For ease
of
identification, these parts are shown actual size enabling you
to place a screw directly
on
the
picture to ensure you
have
selected the
appropriate size.
TYPE
OF
SCREW
li
o;;
...............
;-;-:;iifl::i"i'<u«>CilJTi'j
\::::"1-
QUANTITY USED
SIZE OF
___
M3 x
10
SIT SCREW (2) IN THIS STEP
SCREW
~
On
Page 4 you will find a complete list
of
parts used in this kit including the part
number and total quantity supplied in
the kit and in whi
ch
step
it
is used. When
ordering replacement or optional parts. see page 4 for a
comp
lete listing of
parts and stock numbers.
HELPFUL TIPS
AND
PRECAUTIONS
Some precautions need to be observed when
bu
ilding your "Viper"
to
avoid
problems.
1.)
2.)
Use a muffin tin or egg carton to separate screws. nuts. washers. etc.
This will make
it
easier to locate the correct part.
Place a mat or towel
on
the work surface where you will be building
the
kit.
This will prevent parts from rolling
oH
and will protect the work
surface at the same time.
3.) Try to avoid working over a shag
carpet
In the event that a small
part or screw should
fall onto the carpet,
it
will
be
difficult to find.
4.)
5.)
Avoid getting products like engine cleaner
or
screw lock
on
the plastic
parts. They can have a serious effect
on
your model.
Avoid operating the
Viper in very oold temperatures. Both resin
and
metal parts become brittle
at
low
temperatures.
In
addition.
grease
and
o
il
become
very
thick
causing
premature
wear
and
deficient performance.
Remove
all flashing from the parts before assembly.
METRIC NUTS AND BOLTS
All nuts bolts used throughout this k
it
are metric size. Therefore. some ol
the
notations may not
be
familiar
to
you.
An
M3
nut
is
a 3 millimeter (3mm) nut.
An M3 x 15 screw is 3mm diameter and 15mm long. Some round parts
may
be labeled as a "4mm Washer"
(a
washer with a 4mm inside diameter) 'or a
"3mm Bushing"
(a
bushing with a 3mm inside diameter). At various points
throughout the manual these parts are labeled and pictured in their actual
size
on
the left hand side of the the page. For your reference. 1 millimeter equals
approximately
.039 inches.
M3X
15SCREW
M4 WASHER
3mm
A few dilferent types
of
screws
are
used in
the
construction
of
your model.
He
re are some examples
and
how they will be indicated
in
the instruct
io
ns
for
exampl
e.
Sell Tapping will simply be
SI
T screw.
SELF TAPPING (SfT)
Qiiiiii!IIBP
I " HAS A
TAPER
COARSE THREAD
SETSCREW
@))
SCREW
FINE
THREAD
When you see
th
is symbol, there are steps that you
should
pay extra particul
ar
attention
to
when building this model.
-
~
..
..
.
....
.....
-
-
Ensure that all parts are will lubricated where the instructions indicate
--~~~
th
~
e
~
us
_
e
_
o
_
f
_
g
_
re
_
a
_
s
_
e
_
·
--------------------------------------------------------------------------------
~~~
-
:-
These tools are
6.)
7.)
needed to assemble NEEDLE
NOSE PUERS
AWL
~
.,.
lheViper.
~
PHILUPS SCREWDRIVER
[
HOBBY
KNIFE
. 3 -

Related product manuals