EasyManua.ls Logo

Lab.gruppen LAB 2000C - Page 10

Lab.gruppen LAB 2000C
13 pages
Print Icon
To Next Page IconTo Next Page
To Next Page IconTo Next Page
To Previous Page IconTo Previous Page
To Previous Page IconTo Previous Page
Loading...
10
copper heat sink thereby avoiding thermal losses
normally found when using mica washers (the heat
sink is mounted horizontally in front of a pressure
chamber) The air flow is constant along the whole
heat sink,
thanks to a horizontal pressure chamber in front of it,
(in a conventional tunnel design the end of the heat
sink opposite to the fan invariably gets hotter than
that directly in front of the fan). When cool air hits
the geometric fins of the Intercooler
TM
, turbulence is
produced thereby enabling efficient cooling.
Light weight
The switch mode amplifiers has a very good power
to weight ratio, (280w/Kg) making it one of the most
powerful 2u amplifiers available.. The light weight is
achieved not only by the PSU, but the Intercooler
TM
and the 9 piece anodized alloy chassis contribute
greatly, rear rack supports are unnecessary in most
applications.
Switch mode power supply (SMPS)
Switch mode power supplies are the modern
solution to the problems of size and weight.
However, early examples of SMPS used in power
amplification were not ground breaking, and
literally adopted the type of supply found in many
computers today. The LAB.GRUPPEN SMPS is
different in that it is regulated.
How is this achieved? In contrast to other designs,
that use push pull converters we have managed to
produce a SMPS that has the same characteristics as
a conventional supply. We have avoided the pitfalls
of push-pull converters, by eliminating the need for
limiting on the secondary side of the switch
transformer. This is achieved by using sense
windings, injecting a magnetic pulse from the AC-
line during a pulse time segment which is separated
from the output charge current pulse.
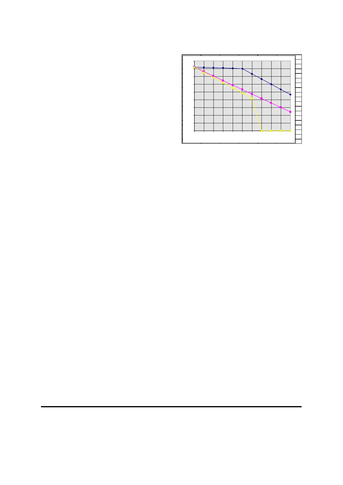
2
1
3
Current [A]
Voltage [V]
Figure 14. Current-voltage characteristic of different power
supply topologies.
1) Conventional power supply show voltage drop due to
internal resistance
2) Regulated power supply used by LAB.
3) Unregulated switch mode power supply with current
limiting.
Whilst the SMPS may sound complex it is actually
very straight forward with high reliability. The net
result is good bass and fast response. Because the
supply is regulated, the power amplifier will
produce the same power output even if the AC line
falls by more than 20% !
Efficiency is also assured, and in the case of the
LAB 2000C this is especially apparent ; its power
supply draws only 4 kW and yet it produces 2 x
1400 W (in a conventional amplifier this would
yield only 2 x 650 W- nearly 3 kW are wasted as
heat.
Traditional PSUs behave erratically at certain
frequencies, during low frequency cycles (bass),
particularly in clip conditions, their output
impedance's rise thereby producing uncontrollable
speaker cone movement. Under these conditions clip
states are more audible.
LAB.GRUPPEN SMPS produces its rated power
output at all frequencies regardless of speaker
demands and AC line conditions.
Minimum Load Switches (MLS
(TM)
)
Thanks to the regulated SMPS, the maximum power
available for the output stages can be adjusted
without increased heat dissipation or efficiency loss.
This allows users to match the output power with
the loudspeaker impedance.
The LED bargraph is also adjusted to give a correct
reading. Because the amount of power delivered into
a load is dictated by its impedance (at 2 ohms you use
the least voltage but use the most current), you can
cheat with the MLS switches thereby enabling powers
in excess of the normal power rating to be produced.
Safety approvals

Related product manuals