EasyManua.ls Logo

Lanix LX700B - 5 Block Diagram; Software Flow Chart

Lanix LX700B
80 pages
Print Icon
To Next Page IconTo Next Page
To Next Page IconTo Next Page
To Previous Page IconTo Previous Page
To Previous Page IconTo Previous Page
Loading...
17"& 19” LCD Color Monitor LANIX LX700B&LX900B
20
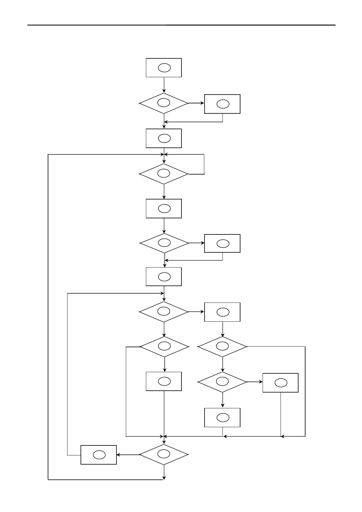
5. Block Diagram
5.1 Software Flow Chat
1
2
N
Y
5
Y
N
10
Y
N
12
Y
N
7
Y
N
6
4
3
8
9
14
11
13
Y
N
15
Y
N
16
17
19
Y
N
18