EasyManua.ls Logo

Lauda IN 280 XT - Pump Characteristics for High-Temperature Thermostats

Default Icon
200 pages
Print Icon
To Next Page IconTo Next Page
To Next Page IconTo Next Page
To Previous Page IconTo Previous Page
To Previous Page IconTo Previous Page
Loading...
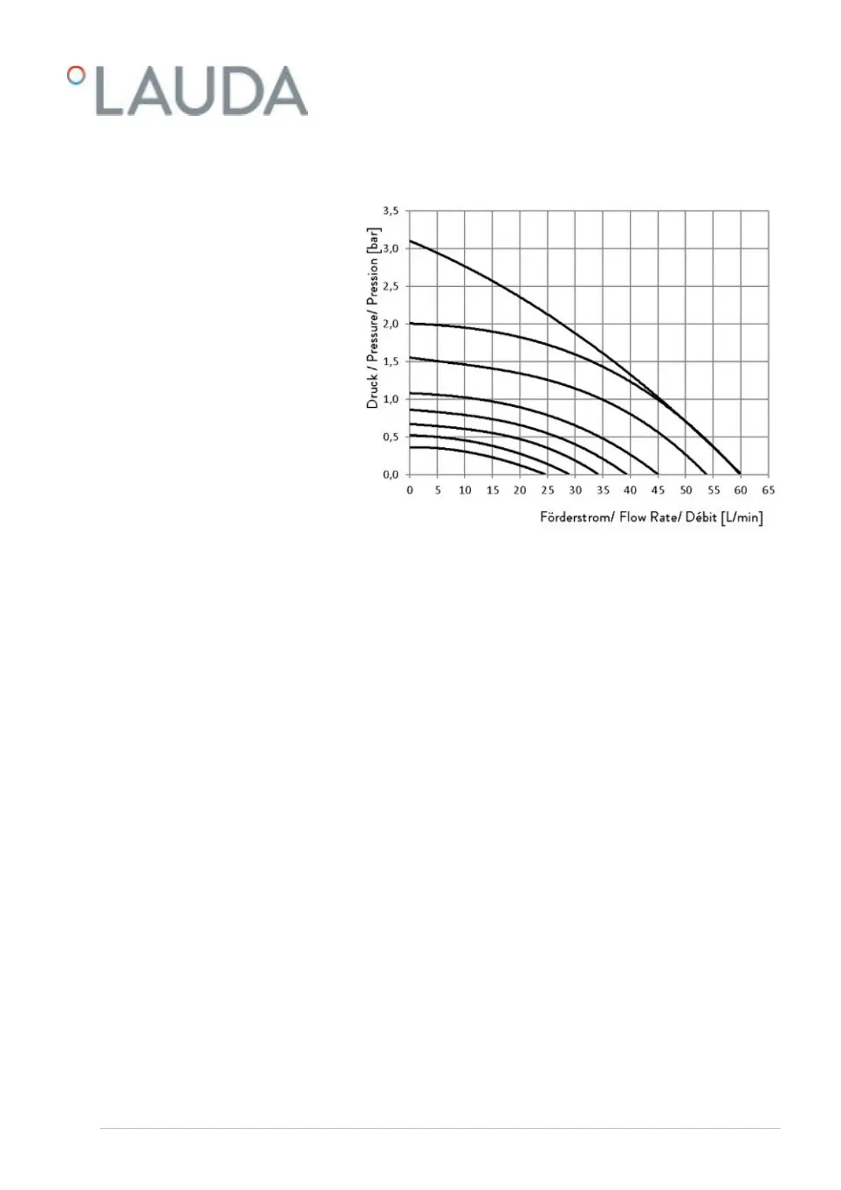
15.8 Pump characteristics for high-temperature thermostats
Fig. 98: IN 4 XTW, IN 8 XTW
Pump levels 1 - 8, measured with water
V6 Integral Process Thermostats and High-Temperature Thermostats 181 / 198

Table of Contents

Related product manuals