EasyManua.ls Logo

Lennox eCOMFORT R32 GAC 035S

Lennox eCOMFORT R32 GAC 035S
88 pages
To Next Page IconTo Next Page
To Next Page IconTo Next Page
To Previous Page IconTo Previous Page
To Previous Page IconTo Previous Page
Loading...
• 27 •
GAC/GAH
185D - 210D
Installation manual / eCOMFORT R32-MIL166E-0222 - 09/2022
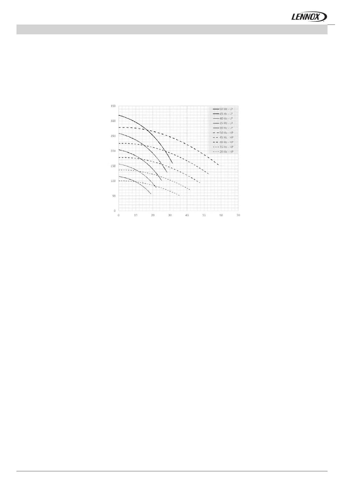
Water ow rate (m
3
/h)
Pressure (kPa)
1.- GENERAL CHARACTERISTICS
1.5.- HYDRAULIC SYSTEM DATA
WATER FLOW AND AVAILABLE STATIC PRESSURE OF WATER PUMP

Related product manuals