EasyManua.ls Logo

LG PRARH1 - Page 52

LG PRARH1
54 pages
Print Icon
To Next Page IconTo Next Page
To Next Page IconTo Next Page
To Previous Page IconTo Previous Page
To Previous Page IconTo Previous Page
Loading...
16 Kit de relé de calentador auxiliar
Mapa de control de CALENTADOR AUXILIAR
n Modo 2. Calentador principal
1) Operación de funciones
a. Cuando el calentador primario se configura con el controlador remoto con cable / mando a
distancia tras configurar la función del calentador auxiliar, el calentador auxiliar se usa como
calefacción principal, y el calentador principal como concepto de calefacción auxiliar durante el
funcionamiento de calefacción y calentador.
(En este caso, el valor de calefacción TH encendido/apagado cambia al siguiente valor de ajuste.)
b. CÓDIGO de instaladores (Configure 'Añadir instaladores' en los ajustes del calentador auxiliar)
- Configuración del calentador principal con el controlador remoto con cable: 36:01
- Configuración del calentador principal con el controlador remoto con cable: 36:00
- Configuración del calentador principal con el mando a distancia: 1.A
- Liberación del calentador principal con el mando a distancia: 1.B
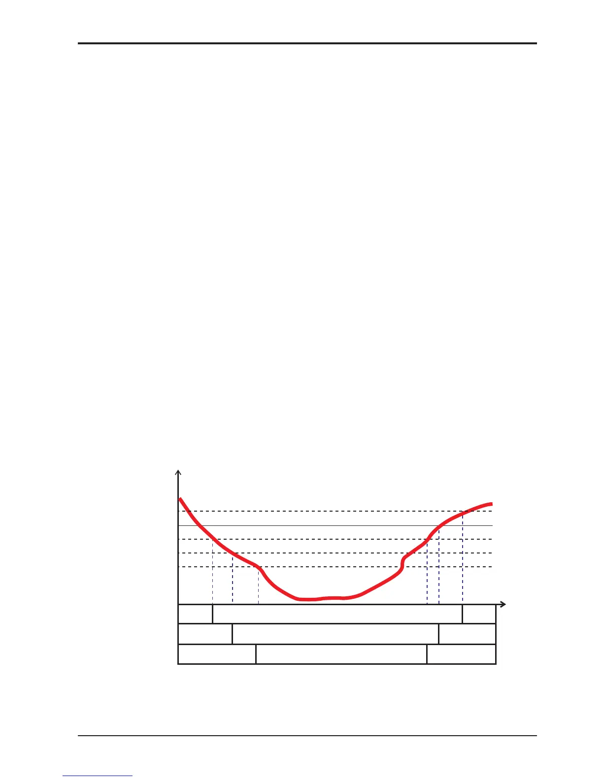
2) Detalles de control del calentador principal
- El encendido/apagado de la salida del calentador se controla dependiendo de la temperatura de la
habitación con el calentador en funcionamiento.
Calentador 1 encendido/apagado
Temp ind. ≥ Temp config. +0,5℃ Calentador apagado
Temp ind. < Temp config. - 0,5℃ Calentador encendido (1ª etapa calor encendido)
Calentador 2 encendido/apagado
Temp ind. ≥ Temp config Calentador apagado
Temp ind. < Temp config 1,0℃ Calentador encendido (2ª etapa calor encendido)
Calentamiento térmico encendido/apagado
Temp ind. ≥ Temp config 0,5℃ Termo. Apagado
Temp ind. < Temp config 1,5℃ Termo. Encendido (3ª etapa calor encendido)
Tiempo de retardo del calentador
Salida de calentador encendida: El calentador 1 se enciende después de dos segundos entre
calefacción y calentador apagado, y el calentador 2 se enciende después de un minuto.
Salida de calentador apagada: Otros
※ No se aplica a algunos productos.
Temp config.
Calentador 1
APAGADO
APAGADO
APAGADO
APAGADO
ENCENDIDO
ENCENDIDO
APAGADO APAGADOENCENDIDO
Calentador 2
TH ON/OFF
Temp config. -0,5°C
Temp config. +0,5℃
Temp config. -1,0°C
Temp config. -1,5°C

Related product manuals