EasyManua.ls Logo

LSIS XBF-DC04A - Page 562

LSIS XBF-DC04A
618 pages
Print Icon
To Next Page IconTo Next Page
To Next Page IconTo Next Page
To Previous Page IconTo Previous Page
To Previous Page IconTo Previous Page
Loading...
Chapter 15 PID Function (Built-in function)
15 - 13
(2) Description of Setting of PID Parameters
(a) Operation mode
It is the mode to set the operation for PID control of a loop in question.
The available scope is automatic operation or manual operation.
If automatic operation is selected, it outputs the PID control result internally operated by the
input PID control parameter as the maneuver value while if manual operation is selected, it
outputs the value input to the manual maneuver value parameter without PID operation
modified. The default is automatic operation.
(b) Operation direction
It is designed to set the operation direction for PID control of a loop in question. The available
scope is forward or reverse direction. At the moment, forward direction means increase of PV
when MV increases; reverse direction means decrease PV when MV increases. For instance, a
heater is a kind of forward direction system because PV(temperature) increases when
output(heating) increases. A refrigerator is a kind of reverse direction system in which
PV(temperature) decreases when output increases.
(c) Prevention of dual integral accumulation
It makes dual integral accumulation function enabled/disabled. To understand integral
accumulation prevention function, it is necessary to explain the phenomenon of integral
accumulation first of all. Every drive has a limit. That is, a motor is limited to the speed and a
valve can become status overcoming the complete open/close. If it happens that MV output
from a control is beyond the output limit of a drive, its output is maintained as saturated, which
may deteriorate the control performance of a system and shorten the life of a drive. Formula
(7.2.3) shows that the integral control among PID control output components accumulates
errors as time goes on, from which it may take more time to return the normal status after the
actuator is saturated in a system of which response characteristically is slow. It is so called
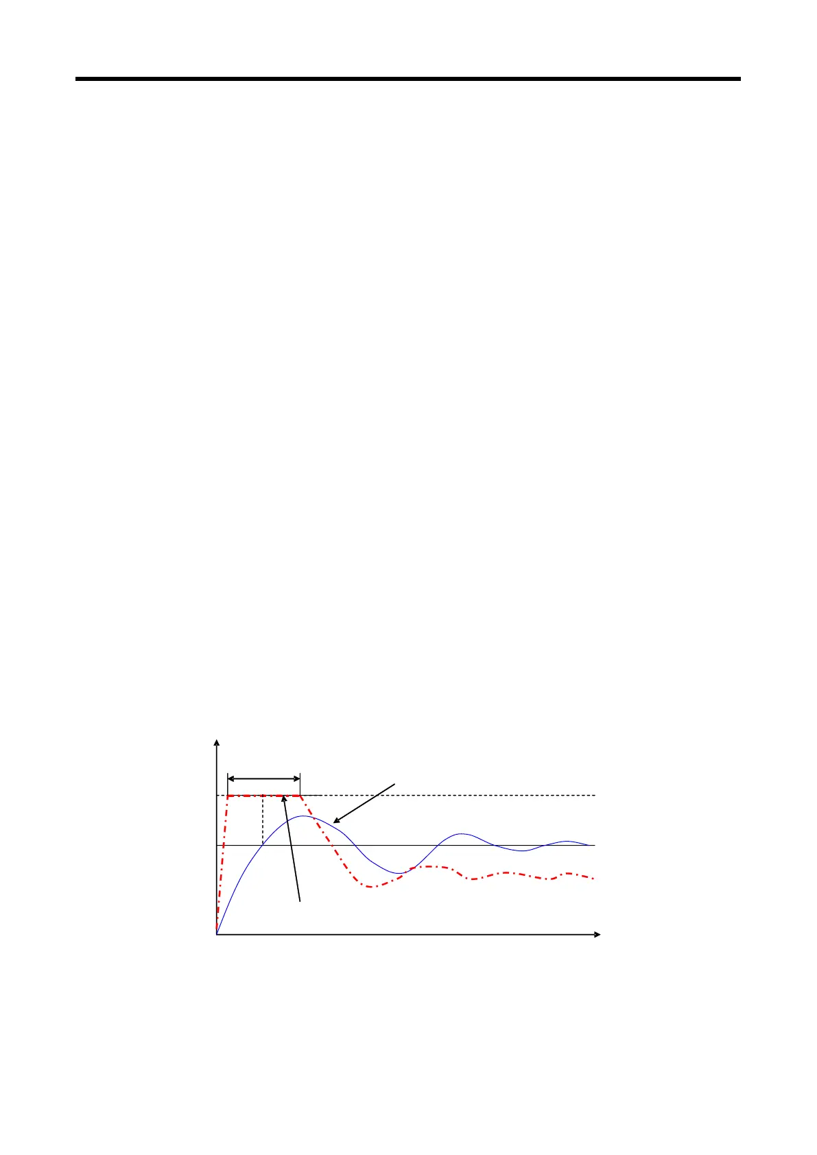
integral accumulation phenomenon as illustrated in Fig. 7.9, which shows that if the initial error
is very large, the error is continuously accumulated by integral control. Accordingly, a drive is
saturated within its output upper limit while the control signal is getting larger, keeping being
saturated for a long while until the drift becomes negative and the integral term turns small
enough. Due to the operation, the PV may have a large over-shoot as seen in the figure. Such
a wind-up phenomenon may occur if the initial drift is large or by a large disturbance or due to
malfunction of a device.
The PID function of XGB series is basically with the integral accumulation prevention function,
cutting off any integral accumulation phenomenon. In addition, it can detect a time when SV is
suddenly decreased, providing a more strong dual integral accumulation prevention function.
< Figure 15.9 Integral accumulation phenomenon >
Time
Target
value
Upper limit of drive output
PV
MV
Drive saturation
Integral accumulation phenomenon

Table of Contents

Related product manuals