EasyManua.ls Logo

McQuay MCI16060CCU216A

McQuay MCI16060CCU216A
83 pages
To Next Page IconTo Next Page
To Next Page IconTo Next Page
To Previous Page IconTo Previous Page
To Previous Page IconTo Previous Page
Loading...
R410A 60Hz 16 SEER Universal Outdoor Series Technical Manual
74
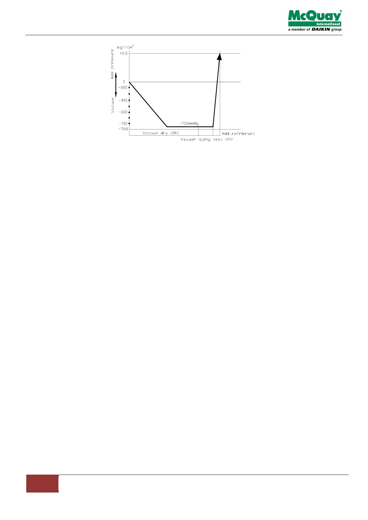
. Special vacuum dry procedure
This vacuum dry method is used in the following conditions:
There’s moisture when flushing the refrigerant pipe.
Rainwater may enter into the pipe.
Vacuum dry for the first time ······ 2h pumping
. Vacuum destroy for the second time ······ Fill nitrogen to 0.5Kgf/cm
2
Because nitrogen is for drying gas, it has vacuum drying effect during vacuum destroy. But if the moisture is too
much, this method can’t dry thoroughly. So, please pay more attention to prevent water entering and forming
condensation water.
. Vacuum dry for the second time······1h pumping
Determinant: Pass if achieving below -755mmHg. If -755mmHg can’t be achieved in 2h, repeat procedure
and .
. Vacuum placing test ······ 1h
. Sketch map of special vacuum dry procedure

Related product manuals