EasyManua.ls Logo

Mettler Electronics Sonicator 706 - Operating Instructions

Default Icon
21 pages
Print Icon
To Next Page IconTo Next Page
To Next Page IconTo Next Page
To Previous Page IconTo Previous Page
To Previous Page IconTo Previous Page
Loading...
Sonicator
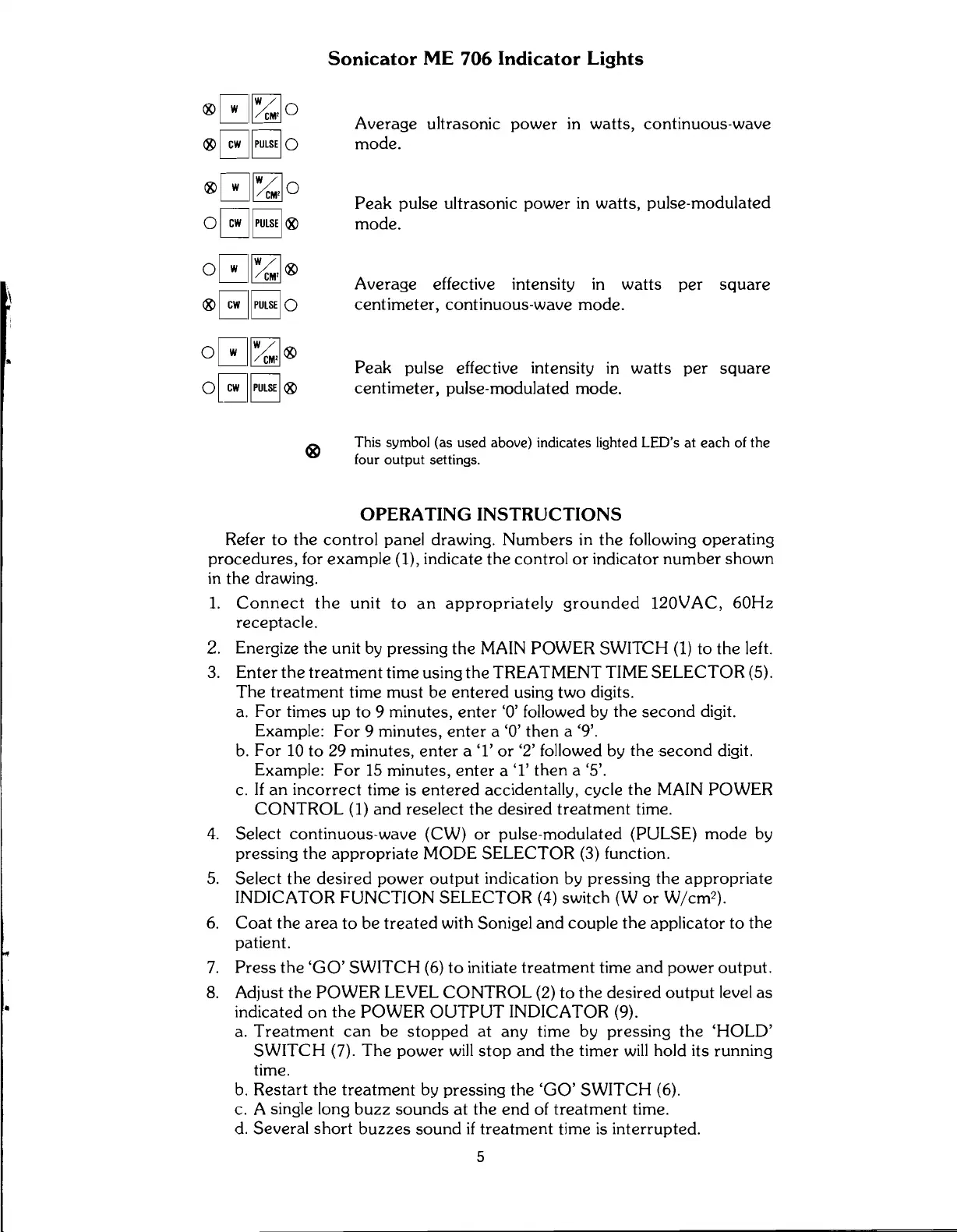
ME 706 Indicator Lights
..
..
®~I~o
Average ultrasonic power
In
watts, continuous-wave
®
[~~]
PULSE
I°
mode.
®[~]~2Io
Peak
pulse ultrasonic power in watts, pulse-modulated
°EJlpULSEI®
mode.
O~I~®
Average effective intensity in watts per
square
®~~JULSEIO
centimeter, continuous-wave mode.
O~I~®
Peak
pulse effective intensity in watts per
square
O[
cw
IlpULSEI®
centimeter, pulse-modulated mode.
This symbol (as used above) indicates lighted LED's at each of the
e
four output settings.
OPERATING
INSTRUCTIONS
Refer to
the
control panel drawing.
Numbers
in
the
following operating
procedures, for example (1), indicate
the
control or indicator number shown
in the drawing.
1.
Connect
the
unit to
an
appropriately
grounded
120VAC, 60Hz
receptacle.
2. Energize the unit by pressing the MAIN POWER SWITCH (1) to the left.
3. Enter
the
treatment
time using
the
TREATMENT TIME
SELECTOR
(5).
The
treatment
time must be
entered
using two digits.
a.
For
times up to 9 minutes,
enter
'0' followed by the
second
digit.
Example:
For
9 minutes,
enter
a '0' then a '9'.
b.
For
10 to 29 minutes,
enter
a '1' or '2' followed by the
second
digit.
Example:
For
15 minutes,
enter
a '1'
then
a'S'.
c. If an incorrect time is
entered
accidentally, cycle the MAIN POWER
CONTROL
(1) and reselect the desired
treatment
time.
4. Select continuous-wave (CW) or pulse-modulated (PULSE) mode by
pressing the appropriate MODE SELECTOR (3) function.
5. Select
the
desired power
output
indication by pressing the appropriate
INDICATOR
FUNCTION
SELECTOR (4) switch (W or
W/cm
2
) .
6.
Coat
the
area
to be
treated
with Sonigel
and
couple
the
applicator to the
patient.
7.
Press
the
'GO'
SWITCH (6) to initiate
treatment
time
and
power output.
8. Adjust the POWER LEVEL
CONTROL
(2) to the desired
output
level as
indicated on the POWER
OUTPUT
INDICATOR (9).
a.
Treatment
can
be
stopped
at any time by pressing
the
'HOLD'
SWITCH
(7).
The
power
will
stop
and
the
timer
will
hold its running
time.
b. Restart the
treatment
by pressing the
'GO'
SWITCH (6).
c. A single long buzz
sounds
at the
end
of
treatment
time.
d. Several
short
buzzes
sound
if
treatment
time is interrupted.
5

Related product manuals