EasyManua.ls Logo

Mitsubishi SRK 35ZS-W

Mitsubishi SRK 35ZS-W
81 pages
To Next Page IconTo Next Page
To Next Page IconTo Next Page
To Previous Page IconTo Previous Page
To Previous Page IconTo Previous Page
Loading...
-
33
-
'18 • SRK-T-250
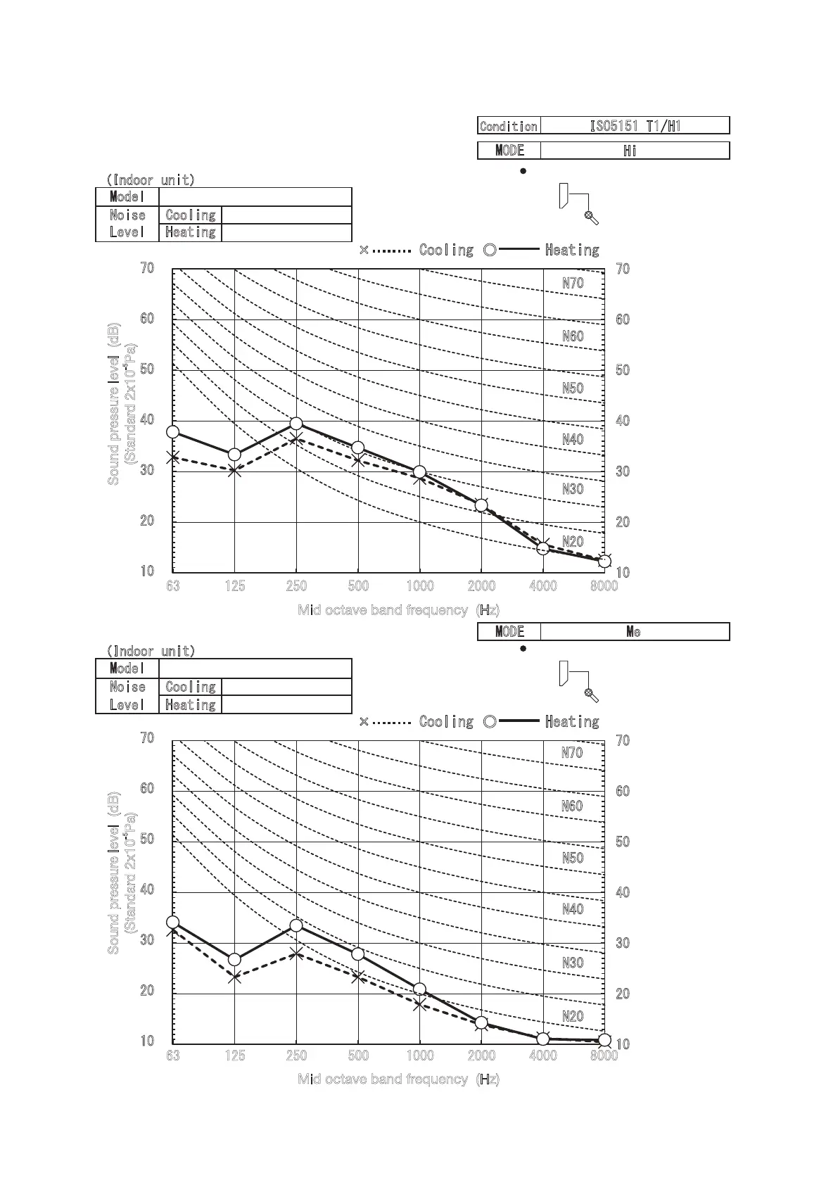
Condition
Model SRK20ZS-W,WB,WT
N
oise Cooling 34 dB(A)
M
ODE
Level Heating 36 dB(A)
× Cooling Heating
Model SRK20ZS-W,WB,WT
N
oise Cooling 25 dB(A)
M
ODE
Level Heating 29 dB(A)
× Cooling Heating
ISO5151 T1/H1
Hi
Me
10
20
30
40
50
60
70
10
20
30
40
50
60
70
10
20
30
40
50
60
70
10
20
30
40
50
60
70
63 125 250 500 1000 2000 4000 8000
63 125 250 500 1000 2000 4000 8000
Sound pressure level (dB)
(Standard 2x10
-5
Pa)
Mid octave band frequency (Hz)
Sound pressure level (dB)
(Standard 2x10
-5
Pa)
Mid octave band frequency (Hz)
Mike position
0.8m
1m
Unit
Mike position
(Center & low points)
Mike position
0.8m
1m
Unit
Mike position
(Center & low points)
N50
N30
N40
N60
N70
N20
N50
N30
N40
N60
N70
N20
(Indoor unit)
(Indoor unit)
(b) Each fan speed mode

Related product manuals