EasyManua.ls Logo

Motorola P100 Series - Page 214

Motorola P100 Series
336 pages
To Next Page IconTo Next Page
To Next Page IconTo Next Page
To Previous Page IconTo Previous Page
To Previous Page IconTo Previous Page
Loading...
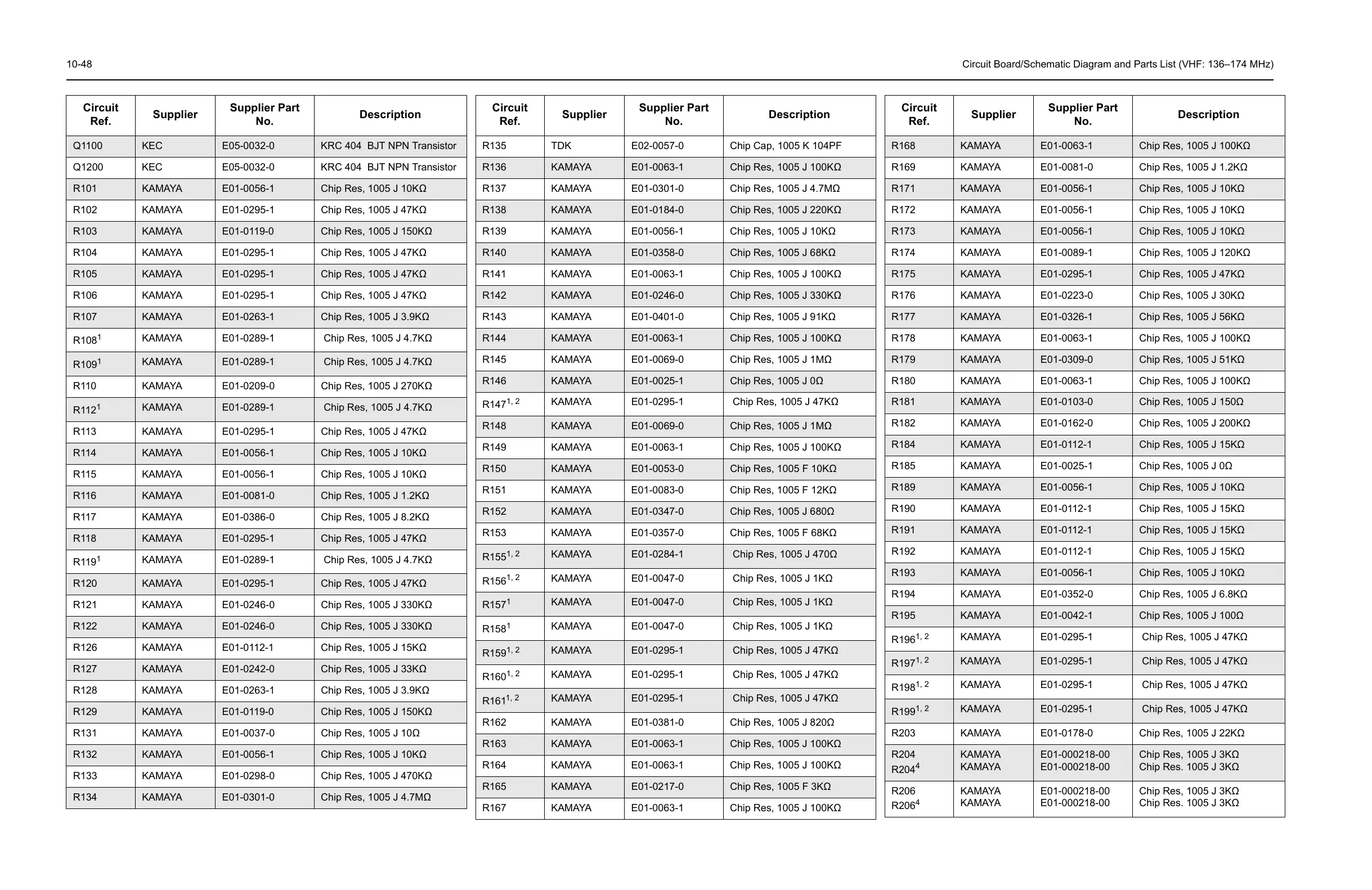
10-48 Circuit Board/Schematic Diagram and Parts List (VHF: 136–174 MHz)
Q1100 KEC E05-0032-0 KRC 404 BJT NPN Transistor
Q1200 KEC E05-0032-0 KRC 404 BJT NPN Transistor
R101 KAMAYA E01-0056-1 Chip Res, 1005 J 10K
R102 KAMAYA E01-0295-1 Chip Res, 1005 J 47K
R103 KAMAYA E01-0119-0 Chip Res, 1005 J 150K
R104 KAMAYA E01-0295-1 Chip Res, 1005 J 47K
R105 KAMAYA E01-0295-1 Chip Res, 1005 J 47K
R106 KAMAYA E01-0295-1 Chip Res, 1005 J 47K
R107 KAMAYA E01-0263-1 Chip Res, 1005 J 3.9K
R108
1
KAMAYA E01-0289-1 Chip Res, 1005 J 4.7K
R109
1
KAMAYA E01-0289-1 Chip Res, 1005 J 4.7K
R110 KAMAYA E01-0209-0 Chip Res, 1005 J 270K
R112
1
KAMAYA E01-0289-1 Chip Res, 1005 J 4.7K
R113 KAMAYA E01-0295-1 Chip Res, 1005 J 47K
R114 KAMAYA E01-0056-1 Chip Res, 1005 J 10K
R115 KAMAYA E01-0056-1 Chip Res, 1005 J 10K
R116 KAMAYA E01-0081-0 Chip Res, 1005 J 1.2K
R117 KAMAYA E01-0386-0 Chip Res, 1005 J 8.2K
R118 KAMAYA E01-0295-1 Chip Res, 1005 J 47K
R119
1
KAMAYA E01-0289-1 Chip Res, 1005 J 4.7K
R120 KAMAYA E01-0295-1 Chip Res, 1005 J 47K
R121 KAMAYA E01-0246-0 Chip Res, 1005 J 330K
R122 KAMAYA E01-0246-0 Chip Res, 1005 J 330K
R126 KAMAYA E01-0112-1 Chip Res, 1005 J 15K
R127 KAMAYA E01-0242-0 Chip Res, 1005 J 33K
R128 KAMAYA E01-0263-1 Chip Res, 1005 J 3.9K
R129 KAMAYA E01-0119-0 Chip Res, 1005 J 150K
R131 KAMAYA E01-0037-0 Chip Res, 1005 J 10
R132 KAMAYA E01-0056-1 Chip Res, 1005 J 10K
R133 KAMAYA E01-0298-0 Chip Res, 1005 J 470K
R134 KAMAYA E01-0301-0 Chip Res, 1005 J 4.7M
Circuit
Ref.
Supplier
Supplier Part
No.
Description
R135 TDK E02-0057-0 Chip Cap, 1005 K 104PF
R136 KAMAYA E01-0063-1 Chip Res, 1005 J 100K
R137 KAMAYA E01-0301-0 Chip Res, 1005 J 4.7M
R138 KAMAYA E01-0184-0 Chip Res, 1005 J 220K
R139 KAMAYA E01-0056-1 Chip Res, 1005 J 10K
R140 KAMAYA E01-0358-0 Chip Res, 1005 J 68K
R141 KAMAYA E01-0063-1 Chip Res, 1005 J 100K
R142 KAMAYA E01-0246-0 Chip Res, 1005 J 330K
R143 KAMAYA E01-0401-0 Chip Res, 1005 J 91K
R144 KAMAYA E01-0063-1 Chip Res, 1005 J 100K
R145 KAMAYA E01-0069-0 Chip Res, 1005 J 1M
R146 KAMAYA E01-0025-1 Chip Res, 1005 J 0
R147
1, 2
KAMAYA E01-0295-1 Chip Res, 1005 J 47K
R148 KAMAYA E01-0069-0 Chip Res, 1005 J 1M
R149 KAMAYA E01-0063-1 Chip Res, 1005 J 100K
R150 KAMAYA E01-0053-0 Chip Res, 1005 F 10K
R151 KAMAYA E01-0083-0 Chip Res, 1005 F 12K
R152 KAMAYA E01-0347-0 Chip Res, 1005 J 680
R153 KAMAYA E01-0357-0 Chip Res, 1005 F 68K
R155
1, 2
KAMAYA E01-0284-1 Chip Res, 1005 J 470
R156
1, 2
KAMAYA E01-0047-0 Chip Res, 1005 J 1K
R157
1
KAMAYA E01-0047-0 Chip Res, 1005 J 1K
R158
1
KAMAYA E01-0047-0 Chip Res, 1005 J 1K
R159
1, 2
KAMAYA E01-0295-1 Chip Res, 1005 J 47K
R160
1, 2
KAMAYA E01-0295-1 Chip Res, 1005 J 47K
R161
1, 2
KAMAYA E01-0295-1 Chip Res, 1005 J 47K
R162 KAMAYA E01-0381-0 Chip Res, 1005 J 820
R163 KAMAYA E01-0063-1 Chip Res, 1005 J 100K
R164 KAMAYA E01-0063-1 Chip Res, 1005 J 100K
R165 KAMAYA E01-0217-0 Chip Res, 1005 F 3K
R167 KAMAYA E01-0063-1 Chip Res, 1005 J 100K
Circuit
Ref.
Supplier
Supplier Part
No.
Description
R168 KAMAYA E01-0063-1 Chip Res, 1005 J 100K
R169 KAMAYA E01-0081-0 Chip Res, 1005 J 1.2K
R171 KAMAYA E01-0056-1 Chip Res, 1005 J 10K
R172 KAMAYA E01-0056-1 Chip Res, 1005 J 10K
R173 KAMAYA E01-0056-1 Chip Res, 1005 J 10K
R174 KAMAYA E01-0089-1 Chip Res, 1005 J 120K
R175 KAMAYA E01-0295-1 Chip Res, 1005 J 47K
R176 KAMAYA E01-0223-0 Chip Res, 1005 J 30K
R177 KAMAYA E01-0326-1 Chip Res, 1005 J 56K
R178 KAMAYA E01-0063-1 Chip Res, 1005 J 100K
R179 KAMAYA E01-0309-0 Chip Res, 1005 J 51K
R180 KAMAYA E01-0063-1 Chip Res, 1005 J 100K
R181 KAMAYA E01-0103-0 Chip Res, 1005 J 150
R182 KAMAYA E01-0162-0 Chip Res, 1005 J 200K
R184 KAMAYA E01-0112-1 Chip Res, 1005 J 15K
R185 KAMAYA E01-0025-1 Chip Res, 1005 J 0
R189 KAMAYA E01-0056-1 Chip Res, 1005 J 10K
R190 KAMAYA E01-0112-1 Chip Res, 1005 J 15K
R191 KAMAYA E01-0112-1 Chip Res, 1005 J 15K
R192 KAMAYA E01-0112-1 Chip Res, 1005 J 15K
R193 KAMAYA E01-0056-1 Chip Res, 1005 J 10K
R194 KAMAYA E01-0352-0 Chip Res, 1005 J 6.8K
R195 KAMAYA E01-0042-1 Chip Res, 1005 J 100
R196
1, 2
KAMAYA E01-0295-1 Chip Res, 1005 J 47K
R197
1, 2
KAMAYA E01-0295-1 Chip Res, 1005 J 47K
R198
1, 2
KAMAYA E01-0295-1 Chip Res, 1005 J 47K
R199
1, 2
KAMAYA E01-0295-1 Chip Res, 1005 J 47K
R203 KAMAYA E01-0178-0 Chip Res, 1005 J 22K
R204
R204
4
KAMAYA
KAMAYA
E01-000218-00
E01-000218-00
Chip Res, 1005 J 3K
Chip Res. 1005 J 3K
R206
R206
4
KAMAYA
KAMAYA
E01-000218-00
E01-000218-00
Chip Res, 1005 J 3K
Chip Res. 1005 J 3K
Circuit
Ref.
Supplier
Supplier Part
No.
Description
All manuals and user guides at all-guides.com

Table of Contents

Other manuals for Motorola P100 Series

Related product manuals