EasyManua.ls Logo

Motorola P100 Series - Page 216

Motorola P100 Series
336 pages
To Next Page IconTo Next Page
To Next Page IconTo Next Page
To Previous Page IconTo Previous Page
To Previous Page IconTo Previous Page
Loading...
10-50 Circuit Board/Schematic Diagram and Parts List (VHF: 136–174 MHz)
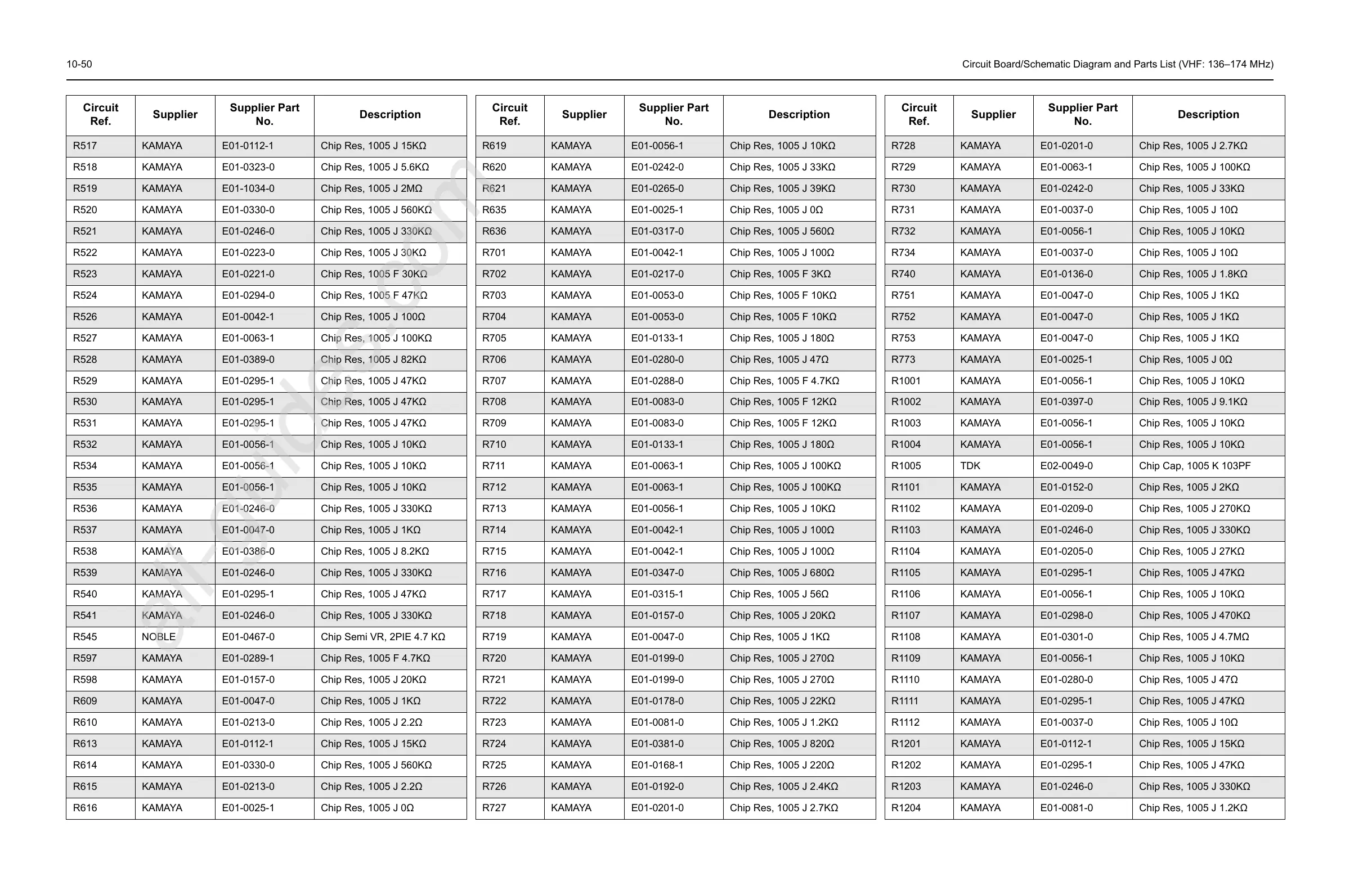
R517 KAMAYA E01-0112-1 Chip Res, 1005 J 15K
R518 KAMAYA E01-0323-0 Chip Res, 1005 J 5.6K
R519 KAMAYA E01-1034-0 Chip Res, 1005 J 2M
R520 KAMAYA E01-0330-0 Chip Res, 1005 J 560K
R521 KAMAYA E01-0246-0 Chip Res, 1005 J 330K
R522 KAMAYA E01-0223-0 Chip Res, 1005 J 30K
R523 KAMAYA E01-0221-0 Chip Res, 1005 F 30K
R524 KAMAYA E01-0294-0 Chip Res, 1005 F 47K
R526 KAMAYA E01-0042-1 Chip Res, 1005 J 100
R527 KAMAYA E01-0063-1 Chip Res, 1005 J 100K
R528 KAMAYA E01-0389-0 Chip Res, 1005 J 82K
R529 KAMAYA E01-0295-1 Chip Res, 1005 J 47K
R530 KAMAYA E01-0295-1 Chip Res, 1005 J 47K
R531 KAMAYA E01-0295-1 Chip Res, 1005 J 47K
R532 KAMAYA E01-0056-1 Chip Res, 1005 J 10K
R534 KAMAYA E01-0056-1 Chip Res, 1005 J 10K
R535 KAMAYA E01-0056-1 Chip Res, 1005 J 10K
R536 KAMAYA E01-0246-0 Chip Res, 1005 J 330K
R537 KAMAYA E01-0047-0 Chip Res, 1005 J 1K
R538 KAMAYA E01-0386-0 Chip Res, 1005 J 8.2K
R539 KAMAYA E01-0246-0 Chip Res, 1005 J 330K
R540 KAMAYA E01-0295-1 Chip Res, 1005 J 47K
R541 KAMAYA E01-0246-0 Chip Res, 1005 J 330K
R545 NOBLE E01-0467-0 Chip Semi VR, 2PIE 4.7 K
R597 KAMAYA E01-0289-1 Chip Res, 1005 F 4.7K
R598 KAMAYA E01-0157-0 Chip Res, 1005 J 20K
R609 KAMAYA E01-0047-0 Chip Res, 1005 J 1K
R610 KAMAYA E01-0213-0 Chip Res, 1005 J 2.2
R613 KAMAYA E01-0112-1 Chip Res, 1005 J 15K
R614 KAMAYA E01-0330-0 Chip Res, 1005 J 560K
R615 KAMAYA E01-0213-0 Chip Res, 1005 J 2.2
R616 KAMAYA E01-0025-1 Chip Res, 1005 J 0
Circuit
Ref.
Supplier
Supplier Part
No.
Description
R619 KAMAYA E01-0056-1 Chip Res, 1005 J 10K
R620 KAMAYA E01-0242-0 Chip Res, 1005 J 33K
R621 KAMAYA E01-0265-0 Chip Res, 1005 J 39K
R635 KAMAYA E01-0025-1 Chip Res, 1005 J 0
R636 KAMAYA E01-0317-0 Chip Res, 1005 J 560
R701 KAMAYA E01-0042-1 Chip Res, 1005 J 100
R702 KAMAYA E01-0217-0 Chip Res, 1005 F 3K
R703 KAMAYA E01-0053-0 Chip Res, 1005 F 10K
R704 KAMAYA E01-0053-0 Chip Res, 1005 F 10K
R705 KAMAYA E01-0133-1 Chip Res, 1005 J 180
R706 KAMAYA E01-0280-0 Chip Res, 1005 J 47
R707 KAMAYA E01-0288-0 Chip Res, 1005 F 4.7K
R708 KAMAYA E01-0083-0 Chip Res, 1005 F 12K
R709 KAMAYA E01-0083-0 Chip Res, 1005 F 12K
R710 KAMAYA E01-0133-1 Chip Res, 1005 J 180
R711 KAMAYA E01-0063-1 Chip Res, 1005 J 100K
R712 KAMAYA E01-0063-1 Chip Res, 1005 J 100K
R713 KAMAYA E01-0056-1 Chip Res, 1005 J 10K
R714 KAMAYA E01-0042-1 Chip Res, 1005 J 100
R715 KAMAYA E01-0042-1 Chip Res, 1005 J 100
R716 KAMAYA E01-0347-0 Chip Res, 1005 J 680
R717 KAMAYA E01-0315-1 Chip Res, 1005 J 56
R718 KAMAYA E01-0157-0 Chip Res, 1005 J 20K
R719 KAMAYA E01-0047-0 Chip Res, 1005 J 1K
R720 KAMAYA E01-0199-0 Chip Res, 1005 J 270
R721 KAMAYA E01-0199-0 Chip Res, 1005 J 270
R722 KAMAYA E01-0178-0 Chip Res, 1005 J 22K
R723 KAMAYA E01-0081-0 Chip Res, 1005 J 1.2K
R724 KAMAYA E01-0381-0 Chip Res, 1005 J 820
R725 KAMAYA E01-0168-1 Chip Res, 1005 J 220
R726 KAMAYA E01-0192-0 Chip Res, 1005 J 2.4K
R727 KAMAYA E01-0201-0 Chip Res, 1005 J 2.7K
Circuit
Ref.
Supplier
Supplier Part
No.
Description
R728 KAMAYA E01-0201-0 Chip Res, 1005 J 2.7K
R729 KAMAYA E01-0063-1 Chip Res, 1005 J 100K
R730 KAMAYA E01-0242-0 Chip Res, 1005 J 33K
R731 KAMAYA E01-0037-0 Chip Res, 1005 J 10
R732 KAMAYA E01-0056-1 Chip Res, 1005 J 10K
R734 KAMAYA E01-0037-0 Chip Res, 1005 J 10
R740 KAMAYA E01-0136-0 Chip Res, 1005 J 1.8K
R751 KAMAYA E01-0047-0 Chip Res, 1005 J 1K
R752 KAMAYA E01-0047-0 Chip Res, 1005 J 1K
R753 KAMAYA E01-0047-0 Chip Res, 1005 J 1K
R773 KAMAYA E01-0025-1 Chip Res, 1005 J 0
R1001 KAMAYA E01-0056-1 Chip Res, 1005 J 10K
R1002 KAMAYA E01-0397-0 Chip Res, 1005 J 9.1K
R1003 KAMAYA E01-0056-1 Chip Res, 1005 J 10K
R1004 KAMAYA E01-0056-1 Chip Res, 1005 J 10K
R1005 TDK E02-0049-0 Chip Cap, 1005 K 103PF
R1101 KAMAYA E01-0152-0 Chip Res, 1005 J 2K
R1102 KAMAYA E01-0209-0 Chip Res, 1005 J 270K
R1103 KAMAYA E01-0246-0 Chip Res, 1005 J 330K
R1104 KAMAYA E01-0205-0 Chip Res, 1005 J 27K
R1105 KAMAYA E01-0295-1 Chip Res, 1005 J 47K
R1106 KAMAYA E01-0056-1 Chip Res, 1005 J 10K
R1107 KAMAYA E01-0298-0 Chip Res, 1005 J 470K
R1108 KAMAYA E01-0301-0 Chip Res, 1005 J 4.7M
R1109 KAMAYA E01-0056-1 Chip Res, 1005 J 10K
R1110 KAMAYA E01-0280-0 Chip Res, 1005 J 47
R1111 KAMAYA E01-0295-1 Chip Res, 1005 J 47K
R1112 KAMAYA E01-0037-0 Chip Res, 1005 J 10
R1201 KAMAYA E01-0112-1 Chip Res, 1005 J 15K
R1202 KAMAYA E01-0295-1 Chip Res, 1005 J 47K
R1203 KAMAYA E01-0246-0 Chip Res, 1005 J 330K
R1204 KAMAYA E01-0081-0 Chip Res, 1005 J 1.2K
Circuit
Ref.
Supplier
Supplier Part
No.
Description
All manuals and user guides at all-guides.com
all-guides.com

Table of Contents

Other manuals for Motorola P100 Series

Related product manuals