EasyManua.ls Logo

Motorola P100 Series - Page 233

Motorola P100 Series
336 pages
To Next Page IconTo Next Page
To Next Page IconTo Next Page
To Previous Page IconTo Previous Page
To Previous Page IconTo Previous Page
Loading...
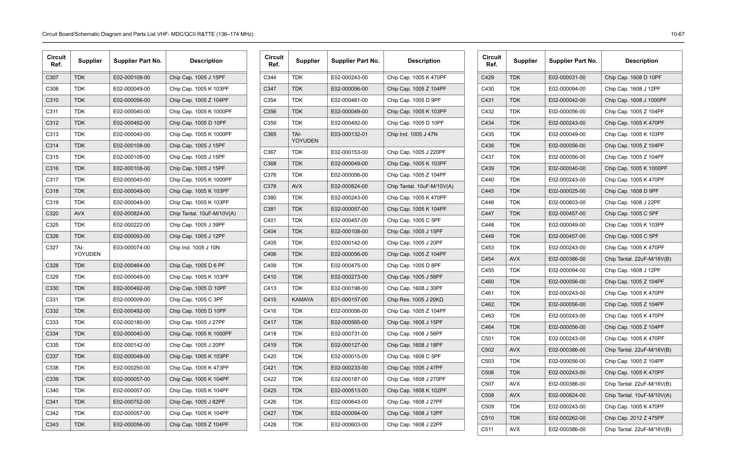
Circuit Board/Schematic Diagram and Parts List VHF- MDC/QCII R&TTE (136–174 MHz) 10-67
C307 TDK E02-000108-00 Chip Cap. 1005 J 15PF
C308 TDK E02-000049-00 Chip Cap. 1005 K 103PF
C310 TDK E02-000056-00 Chip Cap. 1005 Z 104PF
C311 TDK E02-000040-00 Chip Cap. 1005 K 1000PF
C312 TDK E02-000492-00 Chip Cap. 1005 D 10PF
C313 TDK E02-000040-00 Chip Cap. 1005 K 1000PF
C314 TDK E02-000108-00 Chip Cap. 1005 J 15PF
C315 TDK E02-000108-00 Chip Cap. 1005 J 15PF
C316 TDK E02-000108-00 Chip Cap. 1005 J 15PF
C317 TDK E02-000040-00 Chip Cap. 1005 K 1000PF
C318 TDK E02-000049-00 Chip Cap. 1005 K 103PF
C319 TDK E02-000049-00 Chip Cap. 1005 K 103PF
C320 AVX E02-000824-00 Chip Tantal. 10uF-M/10V(A)
C325 TDK E02-000222-00 Chip Cap. 1005 J 39PF
C326 TDK E02-000093-00 Chip Cap. 1005 J 12PF
C327 TAI-
YOYUDEN
E03-000074-00 Chip Ind. 1005 J 10N
C328 TDK E02-000464-00 Chip Cap. 1005 D 6 PF
C329 TDK E02-000049-00 Chip Cap. 1005 K 103PF
C330 TDK E02-000492-00 Chip Cap. 1005 D 10PF
C331 TDK E02-000009-00 Chip Cap. 1005 C 3PF
C332 TDK E02-000492-00 Chip Cap. 1005 D 10PF
C333 TDK E02-000180-00 Chip Cap. 1005 J 27PF
C334 TDK E02-000040-00 Chip Cap. 1005 K 1000PF
C335 TDK E02-000142-00 Chip Cap. 1005 J 20PF
C337 TDK E02-000049-00 Chip Cap. 1005 K 103PF
C338 TDK E02-000250-00 Chip Cap. 1005 K 473PF
C339 TDK E02-000057-00 Chip Cap. 1005 K 104PF
C340 TDK E02-000057-00 Chip Cap. 1005 K 104PF
C341 TDK E02-000752-00 Chip Cap. 1005 J 82PF
C342 TDK E02-000057-00 Chip Cap. 1005 K 104PF
C343 TDK E02-000056-00 Chip Cap. 1005 Z 104PF
Circuit
Ref.
Supplier Supplier Part No. Description
C344 TDK E02-000243-00 Chip Cap. 1005 K 470PF
C347 TDK E02-000056-00 Chip Cap. 1005 Z 104PF
C354 TDK E02-000481-00 Chip Cap. 1005 D 9PF
C356 TDK E02-000049-00 Chip Cap. 1005 K 103PF
C359 TDK E02-000492-00 Chip Cap. 1005 D 10PF
C365 TAI-
YOYUDEN
E03-000132-01 Chip Ind. 1005 J 47N
C367 TDK E02-000153-00 Chip Cap. 1005 J 220PF
C368 TDK E02-000049-00 Chip Cap. 1005 K 103PF
C376 TDK E02-000056-00 Chip Cap. 1005 Z 104PF
C378 AVX E02-000824-00 Chip Tantal. 10uF-M/10V(A)
C380 TDK E02-000243-00 Chip Cap. 1005 K 470PF
C381 TDK E02-000057-00 Chip Cap. 1005 K 104PF
C401 TDK E02-000457-00 Chip Cap. 1005 C 5PF
C404 TDK E02-000108-00 Chip Cap. 1005 J 15PF
C405 TDK E02-000142-00 Chip Cap. 1005 J 20PF
C406 TDK E02-000056-00 Chip Cap. 1005 Z 104PF
C409 TDK E02-000475-00 Chip Cap. 1005 D 8PF
C410 TDK E02-000273-00 Chip Cap. 1005 J 56PF
C413 TDK E02-000198-00 Chip Cap. 1608 J 30PF
C415 KAMAYA E01-000157-00 Chip Res. 1005 J 20K
C416 TDK E02-000056-00 Chip Cap. 1005 Z 104PF
C417 TDK E02-000565-00 Chip Cap. 1608 J 15PF
C418 TDK E02-000731-00 Chip Cap. 1608 J 56PF
C419 TDK E02-000127-00 Chip Cap. 1608 J 18PF
C420 TDK E02-000015-00 Chip Cap. 1608 C 5PF
C421 TDK E02-000233-00 Chip Cap. 1005 J 47PF
C422 TDK E02-000187-00 Chip Cap. 1608 J 270PF
C425 TDK E02-000513-00 Chip Cap. 1608 K 102PF
C426 TDK E02-000643-00 Chip Cap. 1608 J 27PF
C427 TDK E02-000094-00 Chip Cap. 1608 J 12PF
C428 TDK E02-000603-00 Chip Cap. 1608 J 22PF
Circuit
Ref.
Supplier Supplier Part No. Description
C429 TDK E02-000031-00 Chip Cap. 1608 D 10PF
C430 TDK E02-000094-00 Chip Cap. 1608 J 12PF
C431 TDK E02-000042-00 Chip Cap. 1608 J 1000PF
C432 TDK E02-000056-00 Chip Cap. 1005 Z 104PF
C434 TDK E02-000243-00 Chip Cap. 1005 K 470PF
C435 TDK E02-000049-00 Chip Cap. 1005 K 103PF
C436 TDK E02-000056-00 Chip Cap. 1005 Z 104PF
C437 TDK E02-000056-00 Chip Cap. 1005 Z 104PF
C439 TDK E02-000040-00 Chip Cap. 1005 K 1000PF
C440 TDK E02-000243-00 Chip Cap. 1005 K 470PF
C445 TDK E02-000025-00 Chip Cap. 1608 D 9PF
C446 TDK E02-000603-00 Chip Cap. 1608 J 22PF
C447 TDK E02-000457-00 Chip Cap. 1005 C 5PF
C448 TDK E02-000049-00 Chip Cap. 1005 K 103PF
C449 TDK E02-000457-00 Chip Cap. 1005 C 5PF
C453 TDK E02-000243-00 Chip Cap. 1005 K 470PF
C454 AVX E02-000386-00 Chip Tantal. 22uF-M/16V(B)
C455 TDK E02-000094-00 Chip Cap. 1608 J 12PF
C460 TDK E02-000056-00 Chip Cap. 1005 Z 104PF
C461 TDK E02-000243-00 Chip Cap. 1005 K 470PF
C462. TDK E02-000056-00 Chip Cap. 1005 Z 104PF
C463 TDK E02-000243-00 Chip Cap. 1005 K 470PF
C464 TDK E02-000056-00 Chip Cap. 1005 Z 104PF
C501 TDK E02-000243-00 Chip Cap. 1005 K 470PF
C502 AVX E02-000386-00 Chip Tantal. 22uF-M/16V(B)
C503 TDK E02-000056-00 Chip Cap. 1005 Z 104PF
C506 TDK E02-000243-00 Chip Cap. 1005 K 470PF
C507 AVX E02-000386-00 Chip Tantal. 22uF-M/16V(B)
C508 AVX E02-000824-00 Chip Tantal. 10uF-M/10V(A)
C509 TDK E02-000243-00 Chip Cap. 1005 K 470PF
C510 TDK E02-000262-00 Chip Cap. 2012 Z 475PF
C511 AVX E02-000386-00 Chip Tantal. 22uF-M/16V(B)
Circuit
Ref.
Supplier Supplier Part No. Description
All manuals and user guides at all-guides.com

Table of Contents

Other manuals for Motorola P100 Series

Related product manuals