EasyManua.ls Logo

Motorola Professional GP680 - Troubleshooting Flow Chart for VCO

Motorola Professional GP680
290 pages
To Next Page IconTo Next Page
To Next Page IconTo Next Page
To Previous Page IconTo Previous Page
To Previous Page IconTo Previous Page
Loading...
Troubleshooting Flow Chart for VCO 3-7
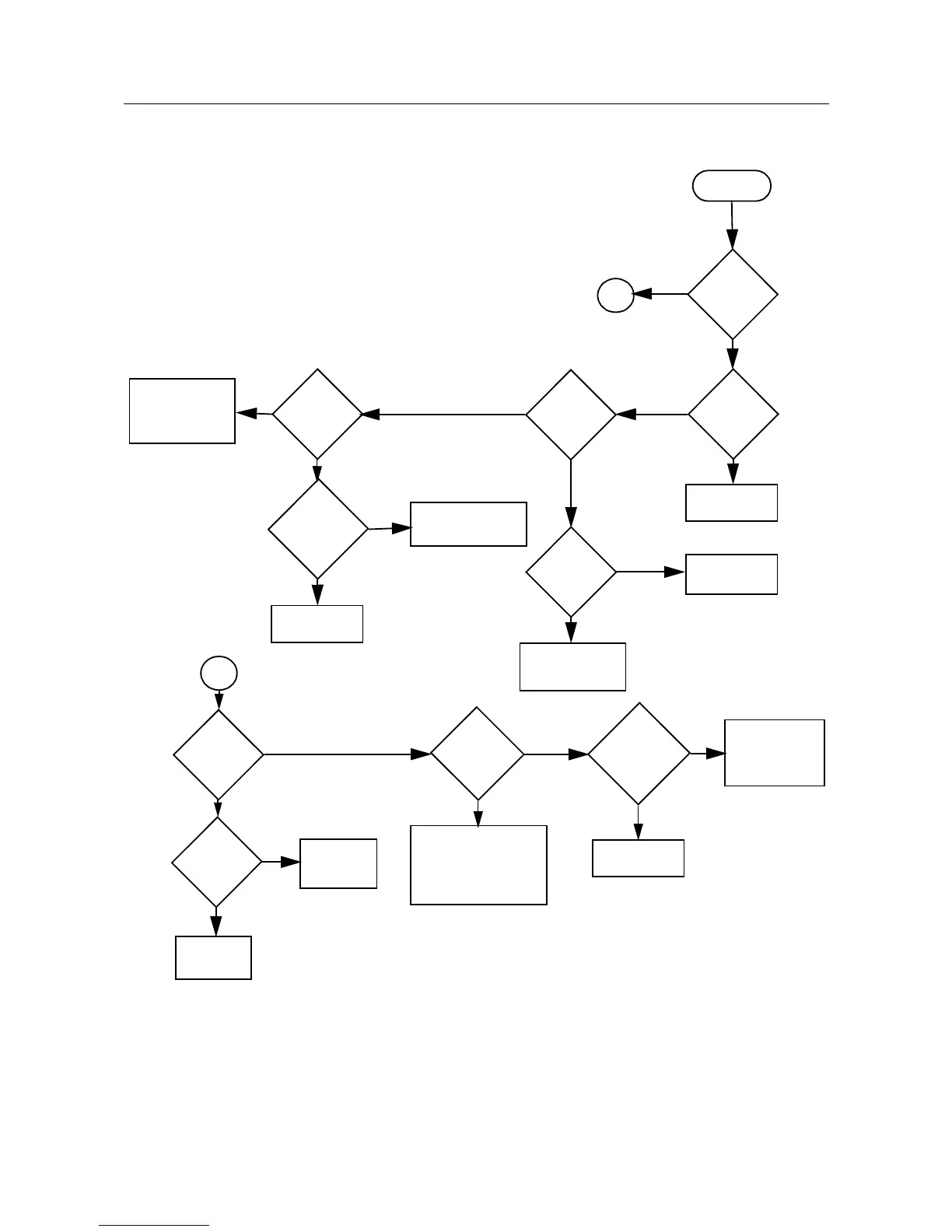
5.0 Troubleshooting Flow Chart for VCO
L3821,
L3822,
L3823,
O/C?
AUX 3 at
U3701
High?
U3801
Pin 19 =0V
AUX 3 at
U3701
High?
L3831,
L3832
L3833
O/C?
U3801
Pin 10
>1V?
Tx
Carrier?
VCTRL
0V or
13V?
START
No LO?
VCO OK
Check
R3829
TRB = 3.2V
Change L3831,
L3832
Change
U3801
Check U3701
Pin 2 for 3.2V
Change
U3701
Change
L3821,L3822,
L3823, L3825
Change
U3801
Change
U3801
Check for faulty parts
or dry joints of L3812,
C3806, R3806,
R3802, & L3801
A
A
No
No
Yes
Yes
Yes
No
No
Yes
Yes
Yes
No
Yes
No
No
Yes
Yes
No
No
Check R3811,
L3811 for dry
joint or faulty
No
Yes

Table of Contents

Related product manuals