EasyManua.ls Logo

Movacolor MCTC - Page 12

Movacolor MCTC
71 pages
Print Icon
To Next Page IconTo Next Page
To Next Page IconTo Next Page
To Previous Page IconTo Previous Page
To Previous Page IconTo Previous Page
Loading...
12
MCTC manual
Tacho function:
The tacho function is only available in extrusion mode.
This function can be used with extrusion when it is necessary that the dosing rate is automatically adjusted to
the extruder speed. In tacho mode an input voltage is linked to a dosing speed setting. If the extruder speed
changes, the tacho input voltage and speed of the dosing unit will change accordingly.
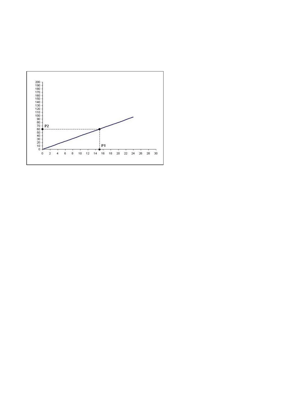
A linear correlation between extruder speed (tacho input signal) and the needed dosing speed is assumed.
See graph.
The tacho function can be set in the production screen and can be set manually or be synchronized:
Manual:
Fill in the voltage the tacho produced by the tacho generator at maximum extruder speed.
Synchronize:
Let the extruder run and select synchronize. The tacho voltage P1 will be taken over automatically, enter the
actual extruder capacity. This is linked to the set motor speed P2 (in RPM mode) or calculated motor speed
(in GRAVI mode).
During production, the motor speed P2 can be changed. The new speed is linked to the previous stored
voltage and the graph will change accordingly.
During production, the voltage P1 can be adjusted to the current tacho input voltage (manually or
automatically) as shown above. The new voltage is linked to the previous stored extruder capacity and the
graph will change accordingly.
The maximum voltage that can be applied to the MCTC tacho input is 30 VDC;
The tacho signal must be a clear signal. Any failure in the voltage signal will be followed by dosing
variations.
In case of a MCWeight, input type needs to be set to relay!
System Configuration: Auto start
Enable / disable auto start up after voltage dip or mains power has been switched OFF.
When enabled the unit will continue dosing automatically after a Voltage dip or mains power has
been switched OFF and ON again.
System Configuration: Startup login
User level to start up with, when switching on the controller’s mains power.
Operator, Tooling or Supervisor. This is the level to which the controller will switch back at screen time-out.
Tacho input voltage (VDC)
Extruder capacity (kg
/h)
Tacho graph
(Example)