EasyManua.ls Logo

NAD C510 - Troubleshooting B

NAD C510
35 pages
Print Icon
To Next Page IconTo Next Page
To Next Page IconTo Next Page
To Previous Page IconTo Previous Page
To Previous Page IconTo Previous Page
Loading...
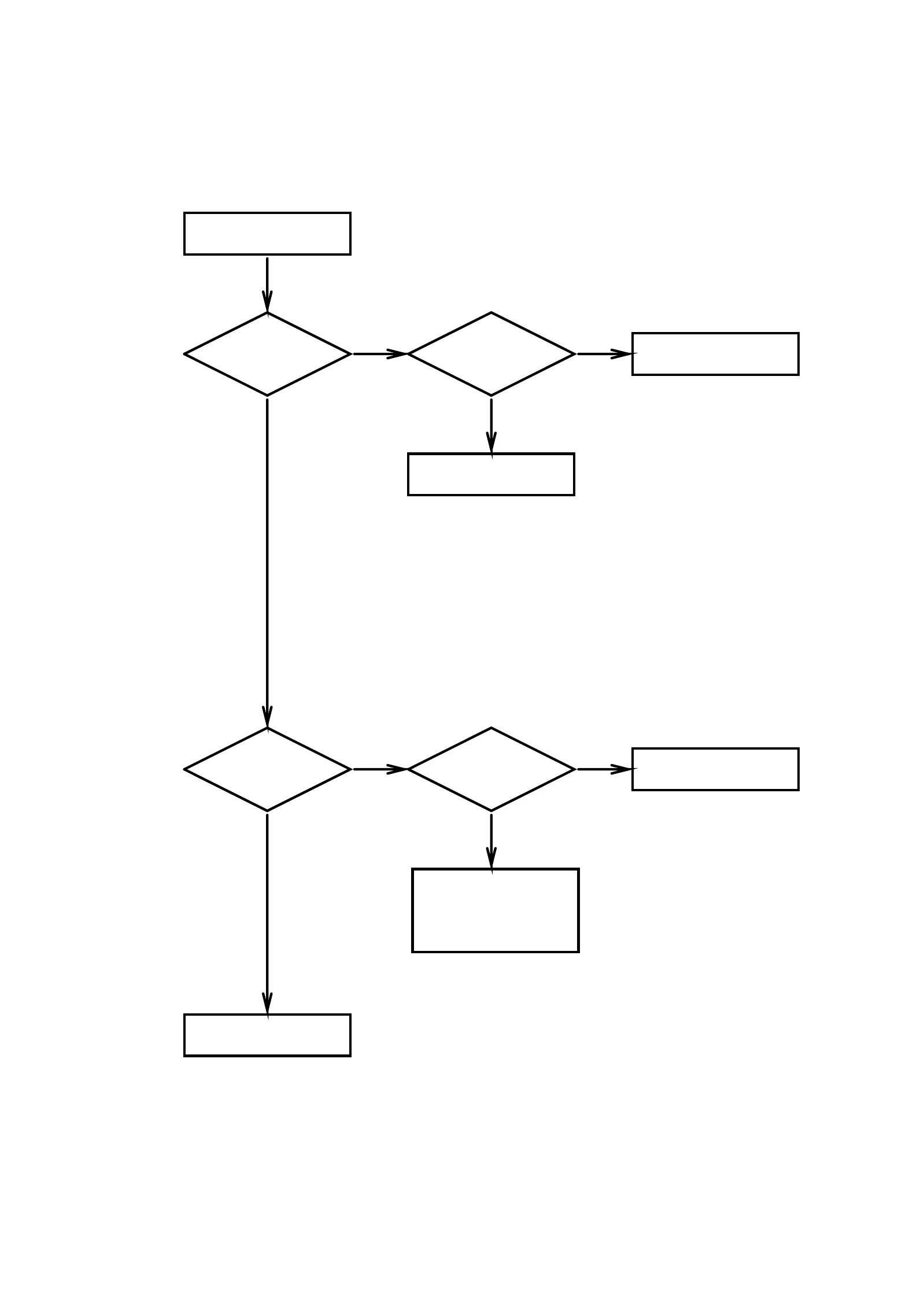
YES
Check 9VD
NONO
B
Check Q1007
YES
Play 1Khz sinewave track
YES
NO NO
F i n i sh
Line Output correct?
Apply signal to coax or optical
Output correct?
Check U1021
YES
5VR correct?
Mute relay open
After 5-8S?
Check J1003
Check Y1004, Y1005, U1000
Check U1006, U1008, U1012
Check driver on computer
TROUBLE SHOOTING B
8

Related product manuals