EasyManua.ls Logo

NorthStar EXPLORER 435 - Data Setup

Default Icon
32 pages
Print Icon
To Next Page IconTo Next Page
To Next Page IconTo Next Page
To Previous Page IconTo Previous Page
To Previous Page IconTo Previous Page
Loading...
Northstar Explorer 435/438 Installation and Operation Manual 13
Clear Used
Select Clear used to set Used (the amount
of fuel used) to zero. Do this to start measuring
the amount of fuel used over a certain time or
distance.
When asked Are you sure? select Yes.
Tank size
Enter the capacity of the fuel tank.
Num. engines
Set the number of engines to 0, 1 or 2. If 0 is
selected the fuel features are turned off.
Calibrate
See section 3-9 Setup > Calibrate.
Flow filter
Most engines do not draw fuel from the tank at a
steady rate. To give a stable fuel flow reading, the
fishfinder calculates the flow value(s) by taking
several measurements and averaging them. Use
the Flow filter to set the period over which the
fuel flow is averaged.
For twin engine installations, the fuel flow for
each engine must be adjusted separately.
The Flow filter can be set from 0 to 10 seconds.
Use the lowest value which gives a stable flow.
Usually a value of 5 seconds (default setting)
will give a satisfactory result for two-stroke
carburettor engines.
This setting affects the Fuel flow and Fuel
economy reading on the Fuel display (see
section 5-5. Fuel display) but it does not affect the
Fuel used reading.
It is recommended that the fuel tank capacity is
measured by draining the fuel tank, then filling it
to capacity. After filling, note the reading from the
fuel dispenser’s gauge.
Note: Beware of air pockets, especially in underfloor
tanks.
Tank full
Select Tank full each time the fuel tank(s)
are completely refilled. When asked Are you
sure? select Yes. Otherwise, the reading on
the Fuel display (see section 5-5 Fuel Display) and
the Low Fuel Alarm (see section
3 -6 Setup > Alarms) are meaningless.
Set remaining
Before doing a partial refill of the tank or removing
fuel manually from the tank (for example, by
siphoning it off):
1. Note the Remaining reading on the
Fuel display.
2. Note how much fuel is added or removed.
3. Calculate how much fuel is now in the tank.
4. Select Set remaining and update
the reading.
It is essential to do this whenever some fuel is
added or removed. Otherwise, the reading on the
Fuel display (see section 5-5 Fuel Display) and
the Low Fuel Alarm (see section
3-6 Setup > Alarms) are meaningless.
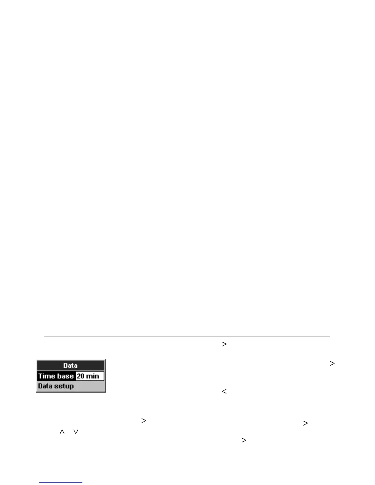
3-4 Setup > Data
Press MENU twice to display the Setup menu,
then select Data:
3. Press
at any data field to show the list of
data items that can be displayed there.
4. Highlight the required data item and press
.
The data item is immediately displayed in that
data field.
5. Press
or MENU when finished.
Time base
To change the Time base of the temperature
graph, select Time base and press
. Choose
between 5 mins, 10 mins, 20 mins, 1 hour and 2
hours and press
to confirm.
Data setup
To change data items (Explorer 438 only):
1. Select Data setup, and press
2. Use
or
to move from data field to data
field.

Related product manuals