EasyManua.ls Logo

Omron H3CR-A - Page 126

Omron H3CR-A
326 pages
Print Icon
To Next Page IconTo Next Page
To Next Page IconTo Next Page
To Previous Page IconTo Previous Page
To Previous Page IconTo Previous Page
Loading...
New H3Y
New H3Y
126
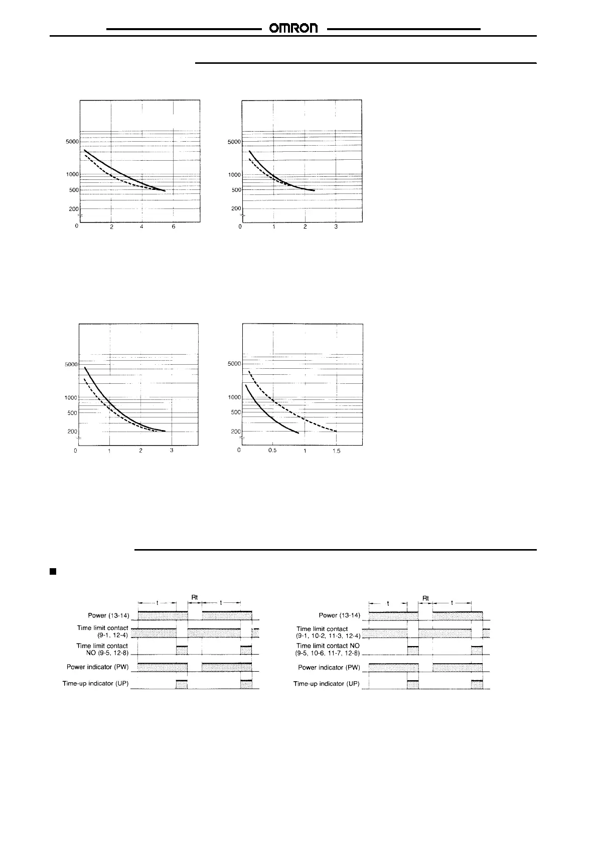
Engineering Data
H3Y-2, H3Y-2-0
Switching operations (x 10 )
3
Load current (A)
H3Y-2, H3Y-2-0
H3Y-4, H3Y-4-0
Switching operations (x 10 )
3
Load current (A)
Switching operations (x 10 )
3
Load current (A)
H3Y-4, H3Y-4-0
Switching operations (x 10 )
3
Load current (A)
Reference: A maximum current of 0.6 A can be switched at 125 VDC (cos
%
=1).
Maximum current of 0.2 A can be switched if L/R is 7 ms. In both cases,
a life of 100,000 operations can be expected.
The minimum applicable load is 1 mA at 5 VDC (P reference value).
Reference: A maximum current of 0.5 A can be switched at 125 VDC (cos
%
=1).
Maximum current of 0.2 A can be switched if L/R is 7 ms. In both cases,
a life of 100,000 operations can be expected.
The minimum applicable load is 1 mA at 1 VDC (P reference value).
250 VAC, cos
%
=1
24 VDC, cos
%
=1
250 VAC, cos
%
=0.4
24 VDC, L/R = 7 ms
250 VAC, cos
%
=1
24 VDC, cos
%
=1
250 VAC, cos
%
=0.4
24 VDC, L/R = 7 ms
Operation
Timing Chart
H3Y-2, H3Y-2-0 H3Y-4, H3Y-4-0
NC
NC

Other manuals for Omron H3CR-A

Related product manuals