EasyManua.ls Logo

Onyx LX700 - SPECIFICATIONS; ENGINE FEATURES AND BENEFITS; POWER CURVE DATA

Onyx LX700
20 pages
Print Icon
To Next Page IconTo Next Page
To Next Page IconTo Next Page
To Previous Page IconTo Previous Page
To Previous Page IconTo Previous Page
Loading...
8
LX700 19HP PROPANE ENGINE
ONYX LX700 engines operate on clean burning propane fuel signicantly reducing emissions while increasing
safety and reliability.
CLEANEST EMISSIONS IN CLASS
LEHR Propane Fuel Systems on the LX700 are certied 53% cleaner emissions than the closest engine in its class
according to the Environmental Protection Agency. Standard low tone catalytic muers reduce carbon monoxide
emissions well below OSHA permissible exposure limits. SAM Safe Air Monitor further increases safety by
alerting operators should carbon monoxide levels climb to unsafe levels and will automatically shut engines down
to prevent injury.
RELIABILITY
DESIGNED FOR PROPANE DURABILITY
LEHR Propane Fuel Systems use a patented variable venturi and fuel jet design which never comes out of
calibration and requires no eld adjustments. LEHR systems utilize a threestage pressure regulator that
vaporizes any liquid propane caused by overlled cylinders or use of liquid cylinders making the LX700 the
safest and most reliable engine in its class.
Heavy-duty piston rings, a cast iron cylinder liner, and hardened heads designed for propane fuel resist wear and
ensure precise timing for long engine life in commercial and industrial applications. Our heavy duty, low tone
catalytic muer is supported back to the engine block with two brackets and lasts the life of the engine.
Type:
Power:
Size:
Bore x Stroke:
Fuel System:
Fuel Type:
Starter:
Oil Capacity:
Dry Weight:
Air Cleaner:
Muer:
Cylinder:
Crankshaft:
Air-cooled, V-Twin OHV
19hp (14.0 kW)
708cc Vertical Shaft
77mm x 76mm
Fixed Venturi & Jet with
Buttery Throttle
Vapor Propane
Electric 12v
2.4 Liters
93lbs.
Canister, Top Mount
Low Tone Catalytic
V-Twin, Hardened
1” Keyed PTO
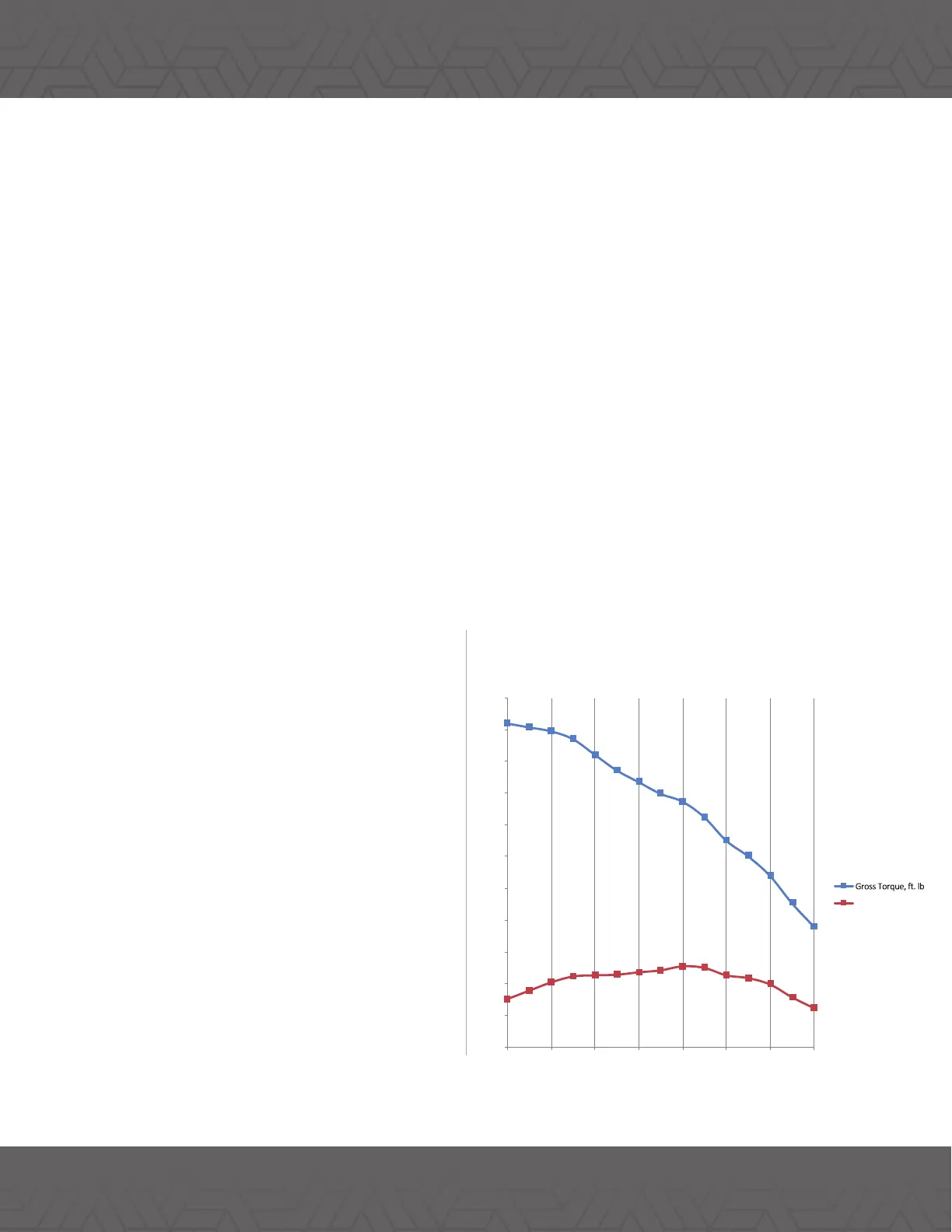
SPECIFICATIONS POWER CURVE
14
16
18
20
22
24
26
28
30
32
34
36
2600
2800
3000
3200
3400
360
3800
4000
Engine Speed, RPM
Gross Power, HP