EasyManua.ls Logo

Panasonic CS-C18HKD - Page 56

Panasonic CS-C18HKD
62 pages
Print Icon
To Next Page IconTo Next Page
To Next Page IconTo Next Page
To Previous Page IconTo Previous Page
To Previous Page IconTo Previous Page
Loading...
56
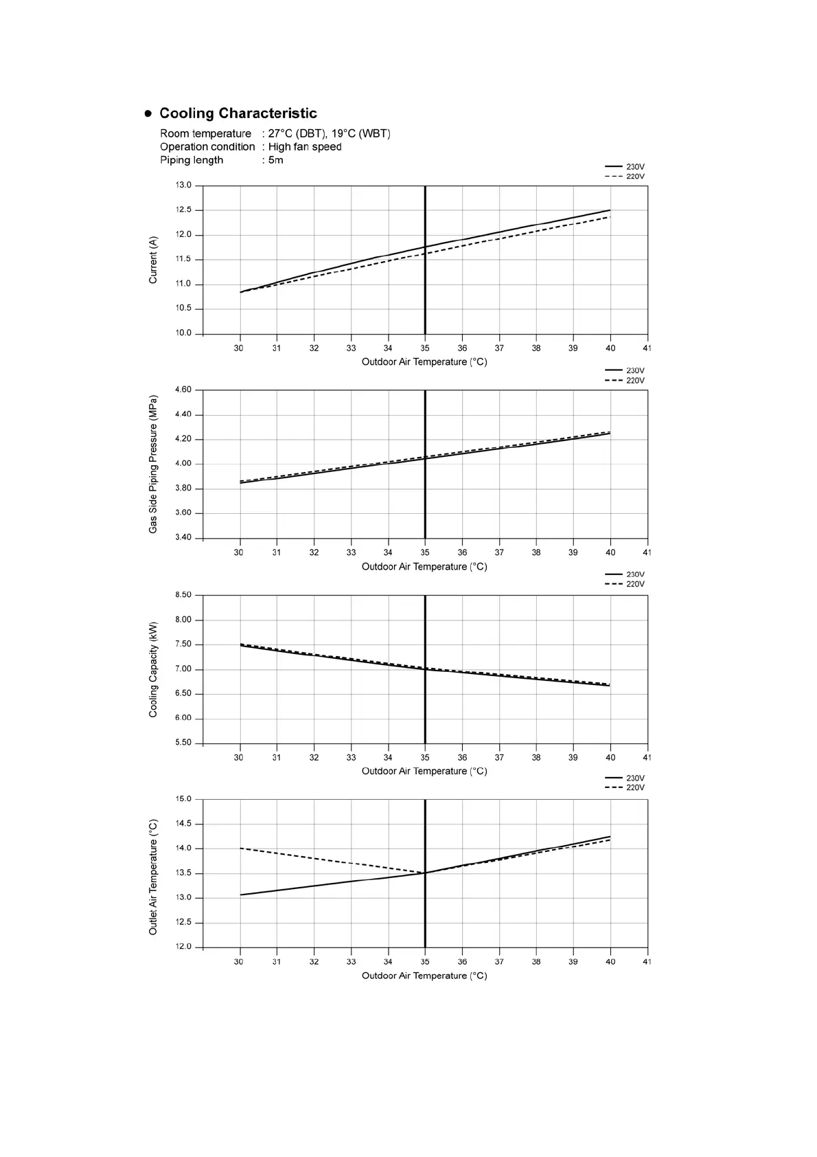
17.2.2. CS-C24HKD CU-C24HKD

Table of Contents

Related product manuals