EasyManua.ls Logo

Panasonic CS-E7LKEW - Page 165

Panasonic CS-E7LKEW
185 pages
Print Icon
To Next Page IconTo Next Page
To Next Page IconTo Next Page
To Previous Page IconTo Previous Page
To Previous Page IconTo Previous Page
Loading...
165
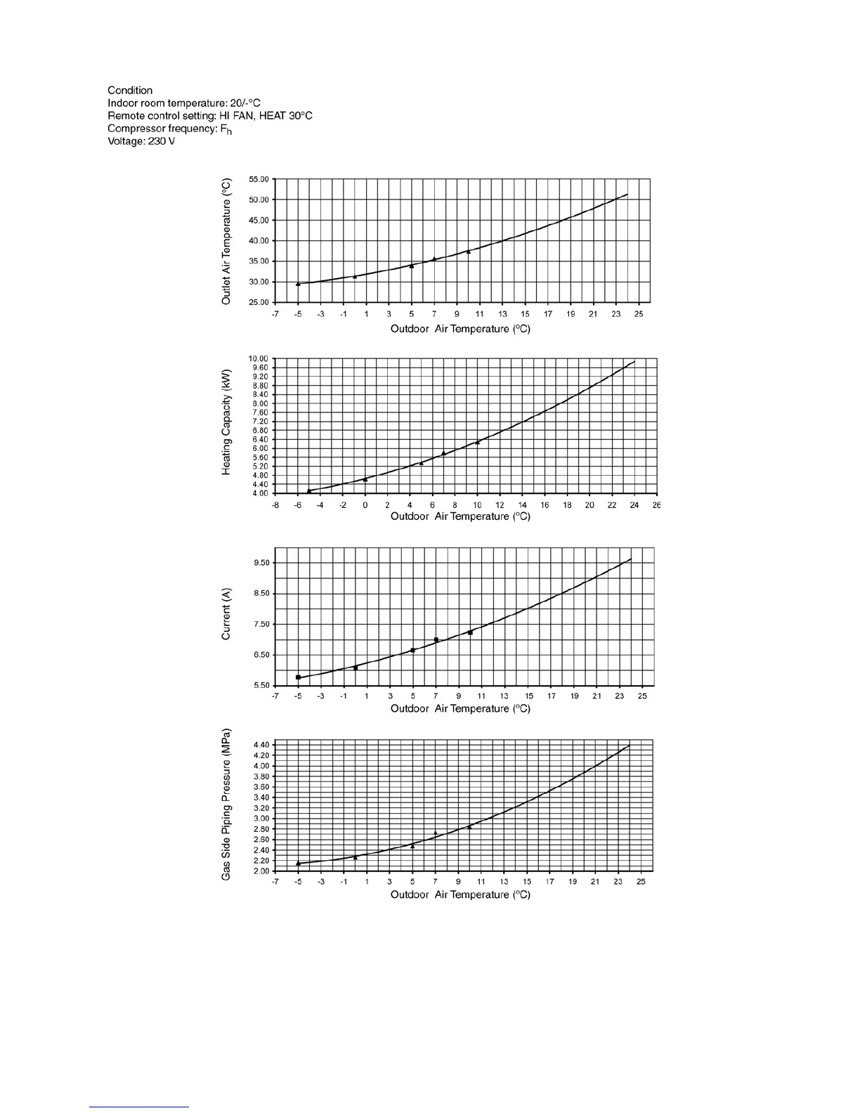
Heating Characteristic at Different Outdoor Air Temperature

Table of Contents

Related product manuals