EasyManua.ls Logo

Panasonic CS-PC12KKF - Page 59

Panasonic CS-PC12KKF
77 pages
Print Icon
To Next Page IconTo Next Page
To Next Page IconTo Next Page
To Previous Page IconTo Previous Page
To Previous Page IconTo Previous Page
Loading...
59
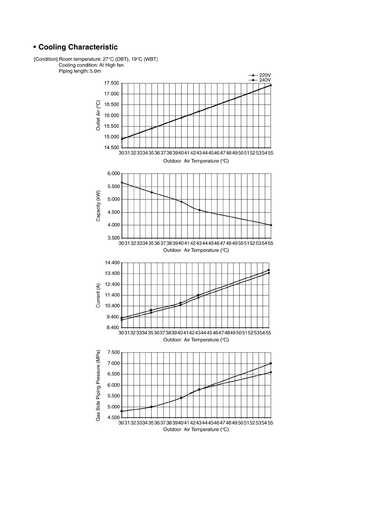
17.2.2. CS-PC18KKF CU-PC18KKF

Table of Contents

Related product manuals