EasyManua.ls Logo

Panasonic CU-PC24MKF - Page 65

Panasonic CU-PC24MKF
87 pages
Print Icon
To Next Page IconTo Next Page
To Next Page IconTo Next Page
To Previous Page IconTo Previous Page
To Previous Page IconTo Previous Page
Loading...
65
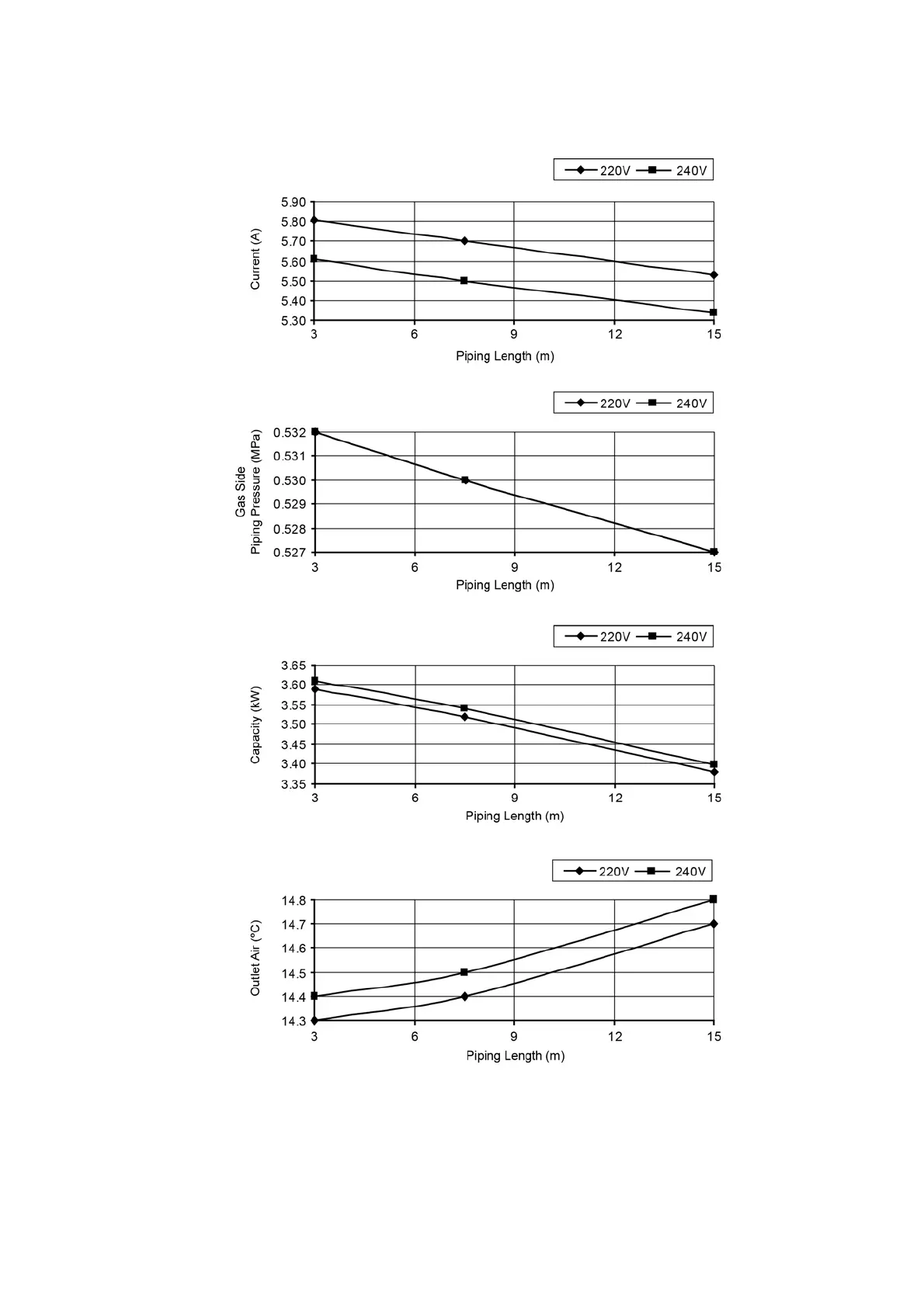
Piping Length Characteristics
[Condition] Room temperature: 27°C (DBT), 19°C (WBT)
Cooling condition: At High fan
Piping length: 7.5m

Table of Contents

Other manuals for Panasonic CU-PC24MKF

Related product manuals