EasyManua.ls Logo

Panasonic CU-PW18DKE - 14 Technical Data; Thermostat Characteristics

Panasonic CU-PW18DKE
76 pages
Print Icon
To Next Page IconTo Next Page
To Next Page IconTo Next Page
To Previous Page IconTo Previous Page
To Previous Page IconTo Previous Page
Loading...
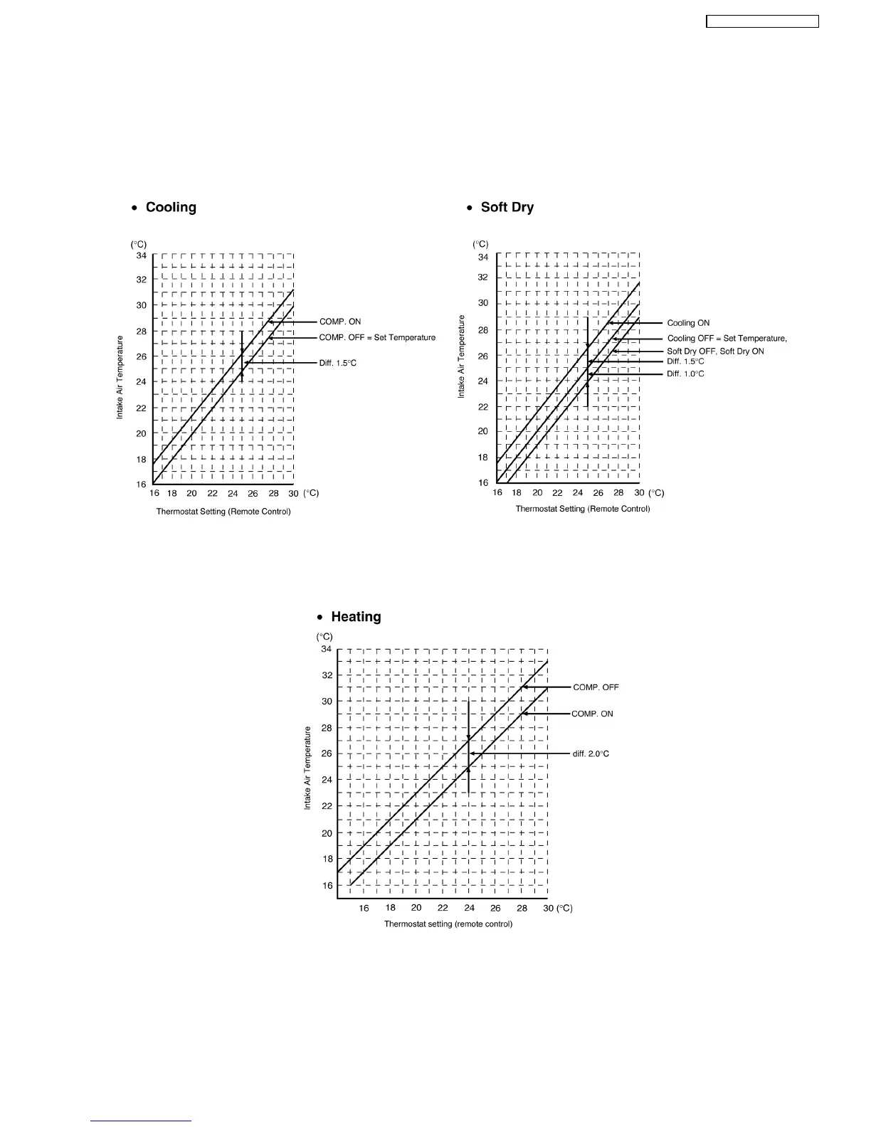
14 Technical Data
14.1. Thermostat Characteristics
14.1.1. CS-PW18DKE
59
CS-PW18DKE CU-PW18DKE

Table of Contents

Related product manuals