EasyManua.ls Logo

Panasonic TH-47LFV5U - Limited Warranty Statement (Canada)

Panasonic TH-47LFV5U
30 pages
To Next Page IconTo Next Page
To Next Page IconTo Next Page
To Previous Page IconTo Previous Page
To Previous Page IconTo Previous Page
Loading...
13
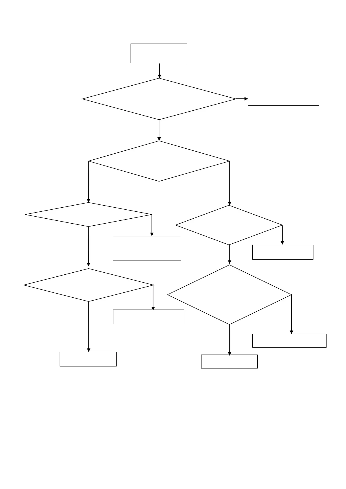
5.3 No Display
Check the P/S and
ON/OFF
si
g
nal is available?
Replace main board
Replace the power board
Panel Vcc Pin
37/38/39/40= 12V?
Replace the Panel
No display
(LED No power)
Replace the main board
Check the backlight is
“On”?
Check the LVDS cable
Reinsert or replace the
LVDS cable
Replace the main board
Replace the Panel
No
Yes
Yes
No
Yes
No
No
Yes
Yes
No
Yes
No
Power board
CN902 Pin 1/2/3/4/5=24V
CN903 Pin 12/14/16=24V
Check TV is under control and power
on/off by remote control and
power key?

Other manuals for Panasonic TH-47LFV5U

Related product manuals