EasyManua.ls Logo

Panasonic TX-28XD90F/A - Self Check; Selbstdiagnose

Panasonic TX-28XD90F/A
48 pages
Print Icon
To Next Page IconTo Next Page
To Next Page IconTo Next Page
To Previous Page IconTo Previous Page
To Previous Page IconTo Previous Page
Loading...
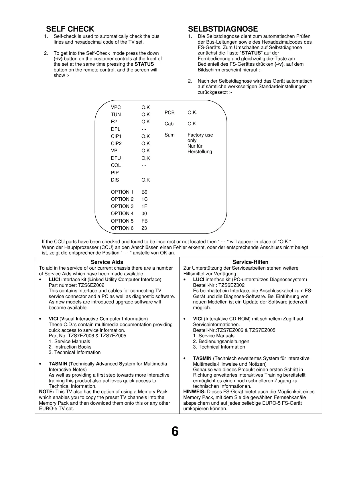
SELF CHECK
1. Self-check is used to automatically check the bus
lines and hexadecimal code of the TV set.
2. To get into the Self-Check mode press the down
(-/v) button on the customer controls at the front of
the set,at the same time pressing the STATUS
button on the remote control, and the screen will
show :-
SELBSTDIAGNOSE
1. Die Selbstdiagnose dient zum automatischen Prüfen
der Bus-Leitungen sowie des Hexadezimalcodes des
FS-Geräts. Zum Umschalten auf Selbstdiagnose
zunächst die Taste "STATUS" auf der
Fernbedienung und gleichzeitig die-Taste am
Bedienteil des FS-Gerätes drücken (-/v), auf dem
Bildschirm erscheint hierauf :-
2. Nach der Selbstdiagnose wird das Gerät automatisch
auf sämtliche werksseitigen Standardeinstellungen
zurückgesetzt :-
Service-Hilfen
Zur Unterstützung der Servicearbeiten stehen weitere
Hilfsmittel zur Verfügung.
LUCI interface kit (PC-unterstützes Diagnosesystem)
Bestell-Nr.: TZS6EZ002
Es beinhaltet ein Interface, die Anschlusskabel zum FS-
Gerät und die Diagnose-Software. Bei Einführung von
neuen Modellen ist ein Update der Software jederzeit
möglich.
VICI (Interaktive CD-ROM) mit schnellem Zugiff auf
Serviceinformationen.
Bestell-Nr.:TZS7EZ006 & TZS7EZ005
1. Service Manuals
2. Bedienungsanleitungen
3. Technical Information
TASMIN (Technisch erweitertes System für interaktive
Multimedia-Hinweise und Notizen)
Genauso wie dieses Produkt einen ersten Schritt in
Richtung erweitertes interaktives Training bereitstellt,
ermöglicht es einen noch schnelleren Zugang zu
technischen Informationen.
HINWEIS: Dieses FS-Gerät bietet auch die Möglichkeit eines
Memory Pack, mit dem Sie die gewählten Fernsehkanäle
abspeichern und auf jedes beliebige EURO-5 FS-Gerät
umkopieren können.
PCB O.K.
Cab O.K.
Sum Factory use
only
Nur für
Herstellung
6
Service Aids
To aid in the service of our current chassis there are a number
of Service Aids which have been made available.
LUCI interface kit (Linked Utility Computer Interface)
Part number: TZS6EZ002
This contains interface and cables for connecting TV
service connector and a PC as well as diagnostic software.
As new models are introduced upgrade software will
become available.
VICI (Visual Interactive Computer Information)
These C.D.'s contain multimedia documentation providing
quick access to service information.
Part No. TZS7EZ006 & TZS7EZ005
1. Service Manuals
2. Instruction Books
3. Technical Information
TASMIN (Technically Advanced System for Multimedia
Interactive Notes)
As well as providing a first step towards more interactive
training this product also achieves quick access to
Technical Information.
NOTE: This TV also has the option of using a Memory Pack
which enables you to copy the preset TV channels into the
Memory Pack and then download them onto this or any other
EURO-5 TV set.
If the CCU ports have been checked and found to be incorrect or not located then " - - " will appear in place of "O.K.".
Wenn der Hauptprozesser (CCU) an den Anschlüssen einen Fehler erkennt, oder der entsprechende Anschluss nicht belegt
ist, zeigt die entsprechende Position " - - " anstelle von OK an.
VPC O.K
TUN O.K
E2 O.K
DPL - -
CIP1 O.K
CIP2 O.K
VP O.K
DFU O.K
COL - -
PIP - -
DIS O.K
OPTION 1 B9
OPTION 2 1C
OPTION 3 1F
OPTION 4 00
OPTION 5 FB
OPTION 6
23

Related product manuals