EasyManua.ls Logo

Panasonic VDR-M95PP - 8 Troubleshooting; Procedure for Troubleshooting

Panasonic VDR-M95PP
144 pages
Print Icon
To Next Page IconTo Next Page
To Next Page IconTo Next Page
To Previous Page IconTo Previous Page
To Previous Page IconTo Previous Page
Loading...
8 Troubleshooting
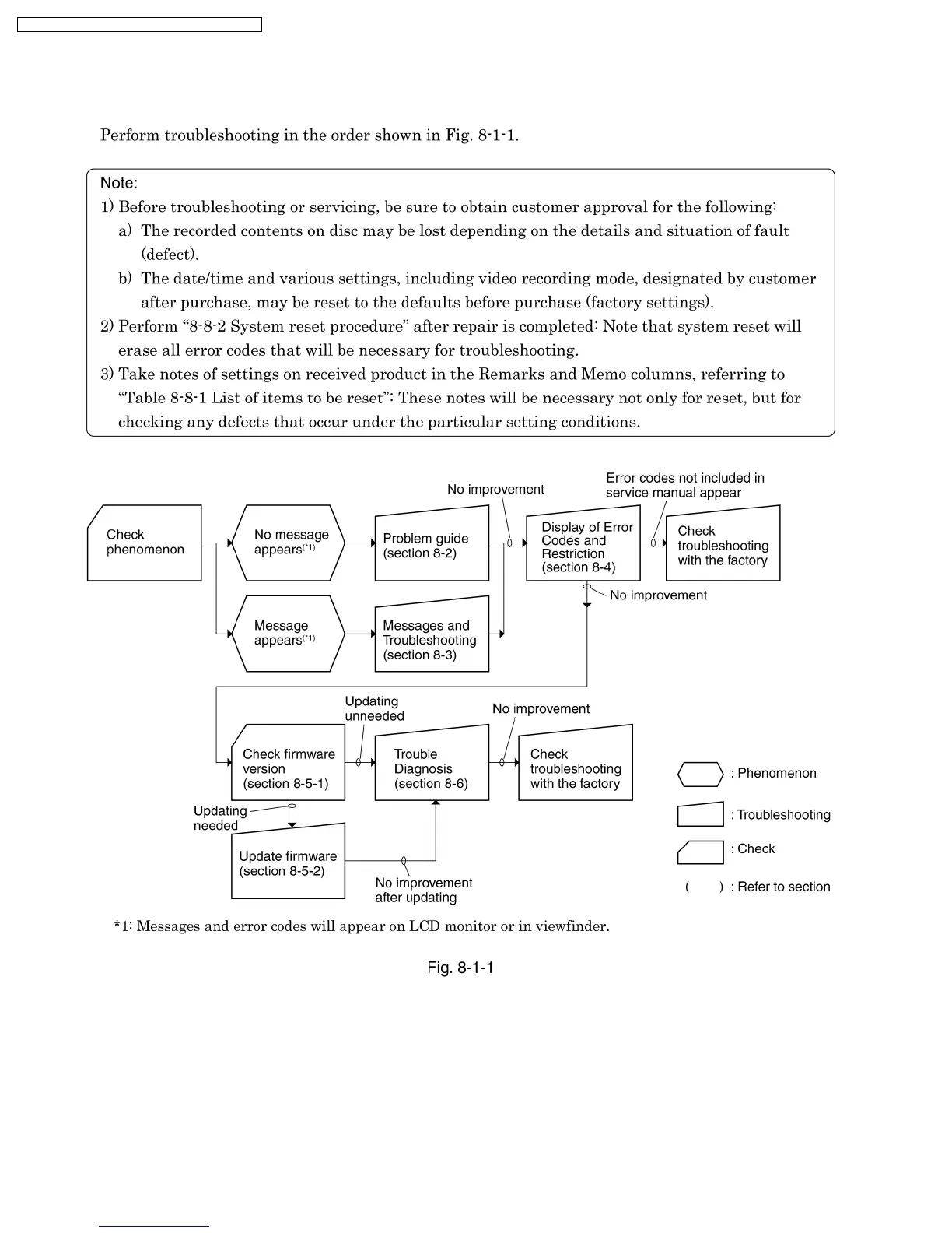
8.1. Procedure for Troubleshooting
18
VDR-M95PP / VDR-M75PP / VDR-M55PP / VDR-M53PP

Table of Contents

Related product manuals