EasyManua.ls Logo

Parkside PTBMOD 710 A1 - Szállítás; Tisztítás És Karbantartás

Parkside PTBMOD 710 A1
76 pages
Print Icon
To Next Page IconTo Next Page
To Next Page IconTo Next Page
To Previous Page IconTo Previous Page
To Previous Page IconTo Previous Page
Loading...
19HU
10.5 A munkadarab befogása (5. ábra)
A megmunkálandó darabnak biztonságosan befoghatónak
kell lennie. Ne dolgozzon olyan munkadarabbal, amelyet nem
tud befogni.
A gyorsbefogó mélyedése a furat közepéhez legyen igazítva.
Ellenkező esetben a gyorsbefogó blokkolhatja a fúrót vagy a
fúrótokmányt.
1. Pozicionálja be a munkadarabot a lézerkereszttel.
2. Oldja ki a gyorsbefogó kart (17).
3. A gyorsbefogót (2) engedje felfeküdni a szerszámon.
4. A munkadarab beszorításához fordítsa el a gyorsbefogó
kart (17) az óramutató járásának irányába.
5. A gyorsbefogó (2) meglazításához fordítsa el a gyorsbefo-
gó kart (17) az óramutató járásával ellentétes irányba.
10.6 Nagyobb munkadarabok befogása (5. ábra)
Nagyobb munkadarabok esetén használja a párhuzamos
ütközőt (16):
1. Lazítsa meg a párhuzamos ütköző szárnyas csavarjait (15), és
helyezze a párhuzamos ütközőt (16) az alaplap hornyaiba.
2. Húzza meg szorosan a párhuzamos ütköző szárnyas csa-
varjait (15).
3. Igazítsa be a munkadarabot a párhuzamos ütközőhöz (16),
majd szorítsa be a gyorsbefogó (2) segítségével.
Figyelmeztetés! Az asztal felső oldalánál szélesebb vagy
hosszabb munkadarabok esetén gondoskodjon megfelelő alá-
támasztásról, pl. állvány vagy fűrészbak használatával.
Az asztali fúrógép alaplapjánál hosszabb és szélesebb mun-
kadarabok felborulhatnak, ha nincsenek megfelelően megtá-
masztva. A munkadarab elbillenése a fúrótokmányvédő vagy
a vágó szerszám sérülését okozhatja.
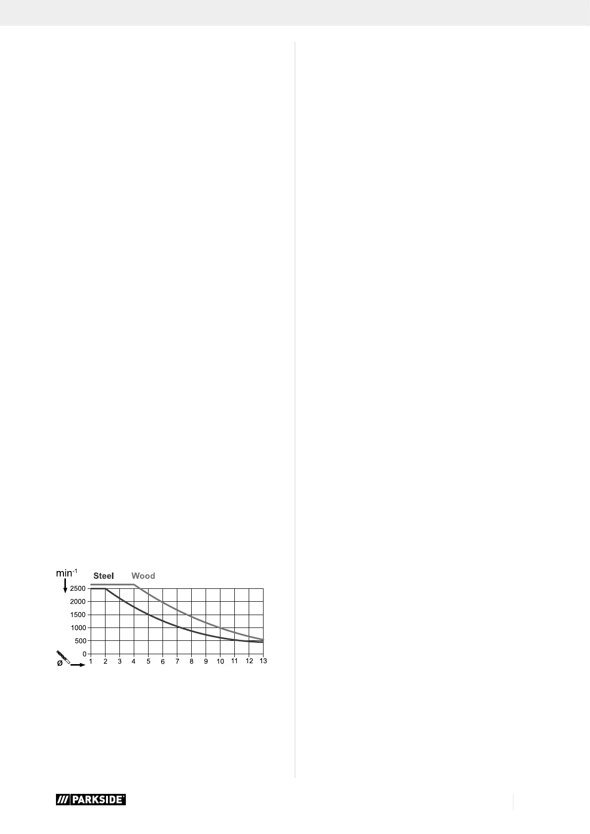
10.7 Fordulatszám beállítása (1. ábra)
A helyes fordulatszámot a megmunkálandó darabtól függően
a szerszámátmérőnek megfelelően kell beállítani.
10.7.1 Elektronikus fordulatszám-szabályozás:
Az elektronikus fordulatszám-szabályozással az egyes fokoza-
tok fordulatszámai átmenet nélkül beállíthatók:
Állítsa be a fordulatszámot a fordulatszám-szabályozó (12)
segítségével.
Az aktuális fordulatszám a jelölés alapján leolvasható a fordu-
latszám-szabályozóról (12).
10.8 Be-/kikapcsolás (1. ábra)
m Ügyeljen arra, hogy a bekapcsolás előtt a fúró-
tokmányvédő (13) le legyen hajtva.
Bekapcsolás: A berendezés bekapcsolásához nyomja meg
a bekapcsoló gombot (11).
Kikapcsolás: A berendezés kikapcsolásához működtesse a
kikapcsoló gombot (10).
10.9 A fúrás menete (1. ábra)
1. Igazítsa be a munkadarabot, és szorítsa be a befogóba.
2. Indítsa el a berendezést, és állítsa be a fordulatszámot.
3. A fúrás végrehajtásához addig forgassa a fogantyút (8)
egyenletes előtolással, amíg el nem éri a kívánt fúrásmélysé-
get. Fém fúrásakor szakítsa meg az előtolást egy kis időre,
hogy a forgács elszakadhasson.
4. A fúrásmélység elérése után forgassa vissza a fogantyút (8)
a kiindulási pozícióba.
5. Kapcsolja ki a készüléket.
11. Szállítás
A szállításhoz hagyja az elektromos szerszámot az alapla-
pon (1).
12. Tisztítás és karbantartás
m Figyelmeztetés! Minden beállítás, karbantartás vagy
javítás előtt húzza ki a hálózati csatlakozódugót!
12.1 Általános karbantartási intézkedések
Időnként törölje le egy kendővel a forgácsot és a port a gép-
ről. A szerszám élettartamának meghosszabbítása érdekében
havonta olajozza a forgó alkatrészeket. Ne olajozza meg a
motort.
A műanyag tisztításához ne használjon maró anyagokat.
m Az olyan munkákat, amelyeket az üzemelteté-
si útmutató nem tartalmaz, bízza szakszervizre.
Csak eredeti alkatrészeket használjon. A karban-
tartási és tisztítási munkák előtt mindig hagyja le-
hűlni a berendezést.
m Égésveszély áll fenn!
Minden használat előtt ellenőrizze a berendezés nyilvánvaló
hiányosságait, pl. a laza, kopott vagy sérült alkatrészeket, vala-
mint a csavarok és egyéb alkatrészek megfelelő illeszkedését.
A sérült alkatrészeket cserélje ki.
12.2 Tisztítás
Ne használjon tisztítószert, illetve oldószert. A vegyi anyagok
kikezdhetik a készülék műanyag alkatrészeit. Soha ne tisztítsa
a berendezést folyó vízzel.
Minden használat után alaposan tisztítsa meg a berendezést.
A szellőzőnyílások és a berendezés felületének tisztítását
puha kefével, ecsettel vagy ronggyal végezze.
A forgács, por és szennyeződések eltávolításához esetleg
használjon porszívót.
Rendszeresen végezze el a mozgó alkatrészek kenését.
12.3 Karbantartás
A berendezés nem tartalmaz olyan alkatrészt, amely karban-
tartást igényelne.

Table of Contents

Related product manuals