EasyManua.ls Logo

Pass X150 - Page 12

Pass X150
13 pages
Print Icon
To Next Page IconTo Next Page
To Next Page IconTo Next Page
To Previous Page IconTo Previous Page
To Previous Page IconTo Previous Page
Loading...
Page 12
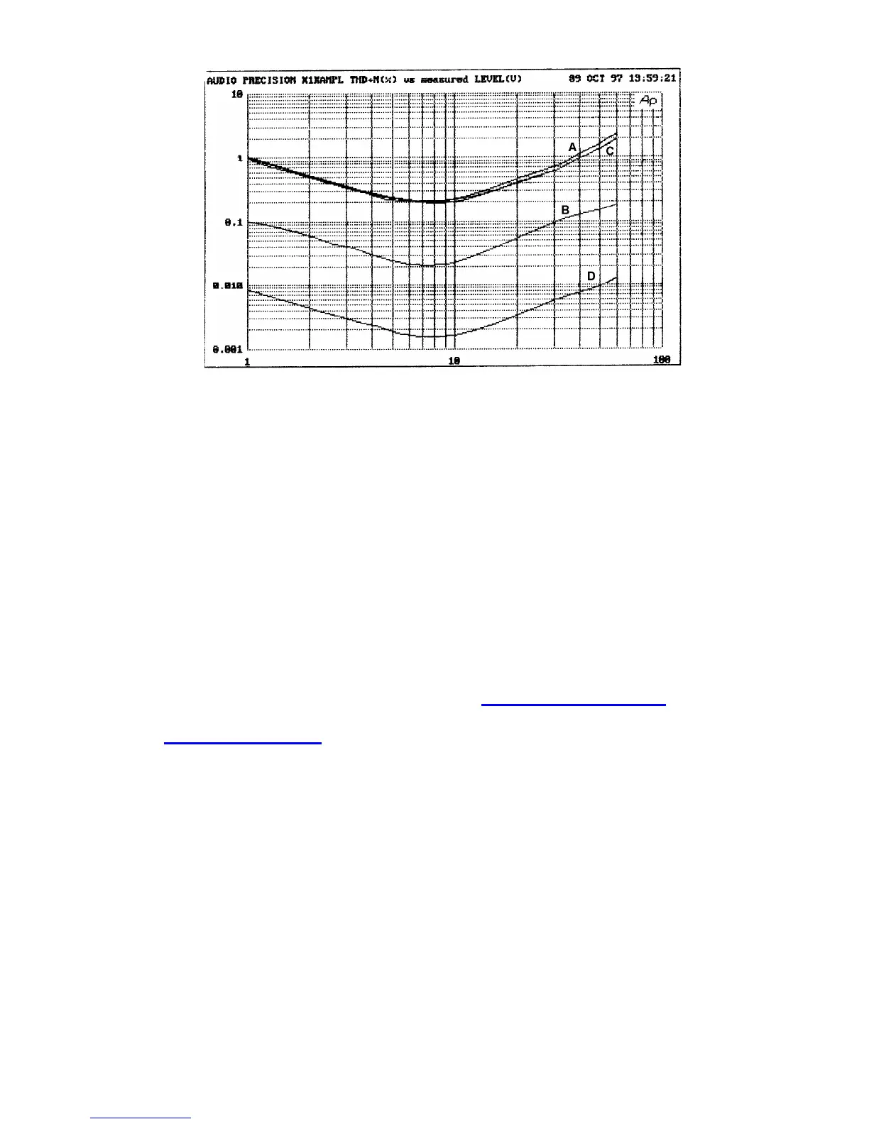
On this curve (B) we can clearly see that intrinsic symmetry due to the matching of the two
halves reduces the distortion by a factor of 10. Supersymmetry (D) creates a more perfect
match, and results in an additional reduction by a factor of 10. However there is essentially no
difference in the distortion figures at the output (C) of each half of the circuit considered alone.
Supersymmetry does not work by reducing the distortion per se, rather it works to precisely
match the two halves of the circuit and lets the balanced output ignore the unwanted
components. As long as the two halves are matched, this performance tends to be frequency
independent, and does not deteriorate over the audio band. With mid-level distortion figures
on the order of .002%, this is very high performance for a single balanced gain stage.
The following pages include, a typical distortion curve of the amplifier, a list of specifications for
the amplifier, and where to reach us.
If you have questions, or we can help you, please feel free to contact us. Again, you can
easily contact Nelson Pass by email addressed to nelson@passlabs.com, and you are
welcome to ask questions or offer comments. Other personnel are available through the
website www.passlabs.com, as are copies of patents, DIY articles, and product information.

Related product manuals