EasyManua.ls Logo

PEERLESS PureFire PF-110 - I. SENSOR RESISTANCE; J. MULTIPLE BOILERS

Default Icon
92 pages
Print Icon
To Next Page IconTo Next Page
To Next Page IconTo Next Page
To Previous Page IconTo Previous Page
To Previous Page IconTo Previous Page
Loading...
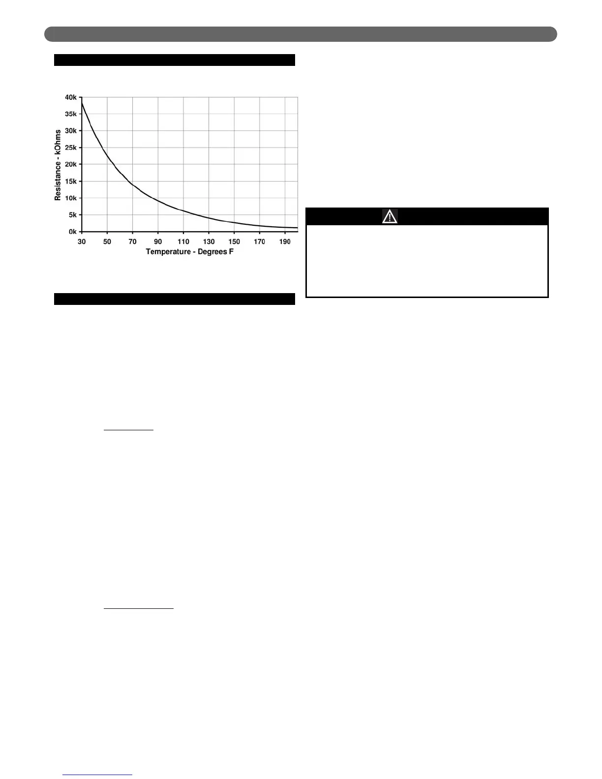
I. SENSOR RESISTANCE
See Figure 8.3 for typical resistance of the boiler sensors.
J. MULTIPLE BOILERS
1. To cascade PF-50 and PF-80 models, check that the
display sub base has the cascade link as illustrated in
Figure 8.6 Cascade Link connection & Switch Setting.
2. P
UREFIRE
®
boiler controls can operate together to
control up to 16 boilers for one central heat or
domestic hot water demand. Only the addition of a
system sensor (54156) is required to provide this
operation.
3. Overview:
a. Master Boiler
: In a multiple boiler system, a boiler
designated as the “Master” boiler controls the
function of the boiler system.
Attached to a system sensor which monitors
the system water temperature.
Can also be connected to an outdoor sensor
(54112), included with each boiler, as well as
an optional DHW sensor (54157) or a
standard DHW thermostat.
Determines which boiler operates first (lead)
and when to bring on additional boilers.
Determines the input rate to operate individual
boilers.
Shuts down all boilers in the system if the
LWCO contacts are opened.
b. Dependent Boilers
: The “dependent” boilers
operate at the input rate and/or temperature that
the Master boiler specifies.
Maintain all of their own safety parameters
such as safety limit, vent temperature limit,
and freeze protection.
Control their own general circulator that is
energized whenever there is a call for either
Central Heat or Domestic Hot Water.
Shuts down the individual boiler if the
dependent boiler LWCO contacts are opened.
4. System Piping & Wiring:
a. Multiple boilers with multiple zones with zone valves.
Figure 8.4 shows a typical system which uses a
CH circulator, a DHW circulator and zone valves
to distribute the heating load to the building.
A three zone valve control panel (not included)
controls circulation to individual zones.
A call from any of the heating zones initiates a
contact closure from the zone relay across the
CH thermostat connections (terminals #1 &2)
on the master boiler. This initiates ignition of
the “lead” boiler and its general pump. In
addition, the CH circulator is energized.
A call for domestic hot water can either be
initiated internally by the control when it sees
a drop in indirect tank temperature or by a
tank thermostat. In either case, the lead boiler
is ignited and its general pump operates. The
DHW circulator is also energized.
b. Multiple boilers with multiple zones with zone
circulators.
Figure 8.5 shows a typical system which uses a
circulator zone control panel to control the
central heating zones.
The DHW circulator can be operated by the
priority zone or can be connected directly to
the boiler (as shown). In either case, the
priority zone cannot be used for heating.
Again, a call for heat from any of the heating
zones causes the master boiler to initiate
operation of the lead boiler and its general
circulator. The CH circulators are controlled by
the zone control relay panel.
A DHW call results in operation of the lead
boiler and its general pump. The DHW pump is
also energized. On the PF-210 & PF-399 a built-
in relay provides a signal to the zone controller
that the priority zone is operating. This prevents
any of the CH zone circulators from operating.
Wiring for a typical circulator zone relay is
shown in Figure 7.4.
49
BOILER CONTROL: INTERNAL WIRING & OPERATION
Figure 8.3: Sensor Resistance
The central heating (CH) circulator and the domestic
hot water (DHW) circulator must be sized in
accordance with good Engineering practices based
on the required flow and pressure drop of the
system. Failure to do so may result in system
performance problems.
NOTICE

Table of Contents

Related product manuals