EasyManua.ls Logo

Philips BDP2982/12 - Page 8

Philips BDP2982/12
25 pages
Print Icon
To Next Page IconTo Next Page
To Next Page IconTo Next Page
To Previous Page IconTo Previous Page
To Previous Page IconTo Previous Page
Loading...
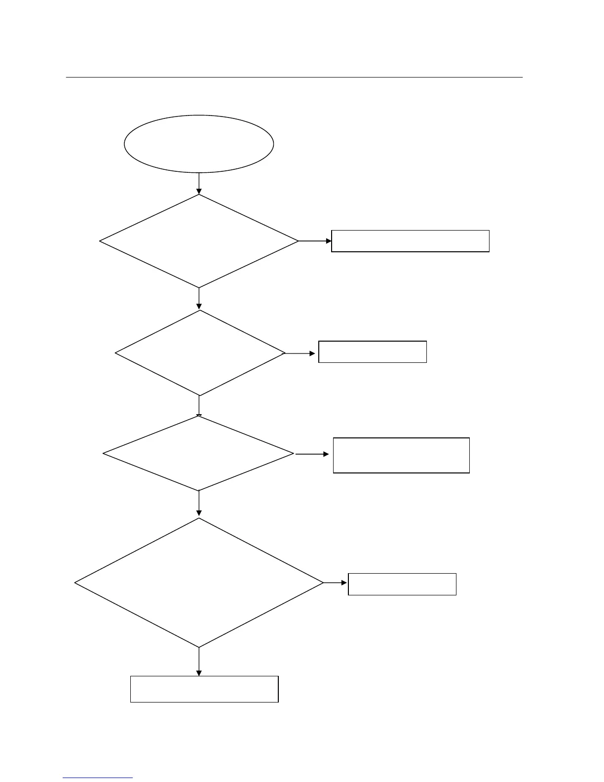
No display , and buttons do not work
No
No
No
Yes
Yes
No display on LED DISPLAY, and
buttons do not work
Check every supply
voltage on main board is
normal
Refer to Power supply board part
Correct connection
Replace PU4 or LED DISPLAY
Yes
Go
Yes
No
Check +5V,+12V,
voltage on the power
board
DATA,CLK,STB,on the power board
1.Check whether bad solder exists
on PU4 and pins of LED DISPLAY
2.Check whether the circuit
connected to PK1, PK2 is
broken.
Fix the
power board
Trouble shooting chart
5-1
Check the signals of the PU4's
Check the PU4 power supply
(PU4.7= +5V and PU4.21= +5V)

Related product manuals