EasyManua.ls Logo

Philips BDP2982/12 - Page 9

Philips BDP2982/12
25 pages
Print Icon
To Next Page IconTo Next Page
To Next Page IconTo Next Page
To Previous Page IconTo Previous Page
To Previous Page IconTo Previous Page
Loading...
Remote control does not work
Go
Yes
Yes
Remote control
does not work
NO
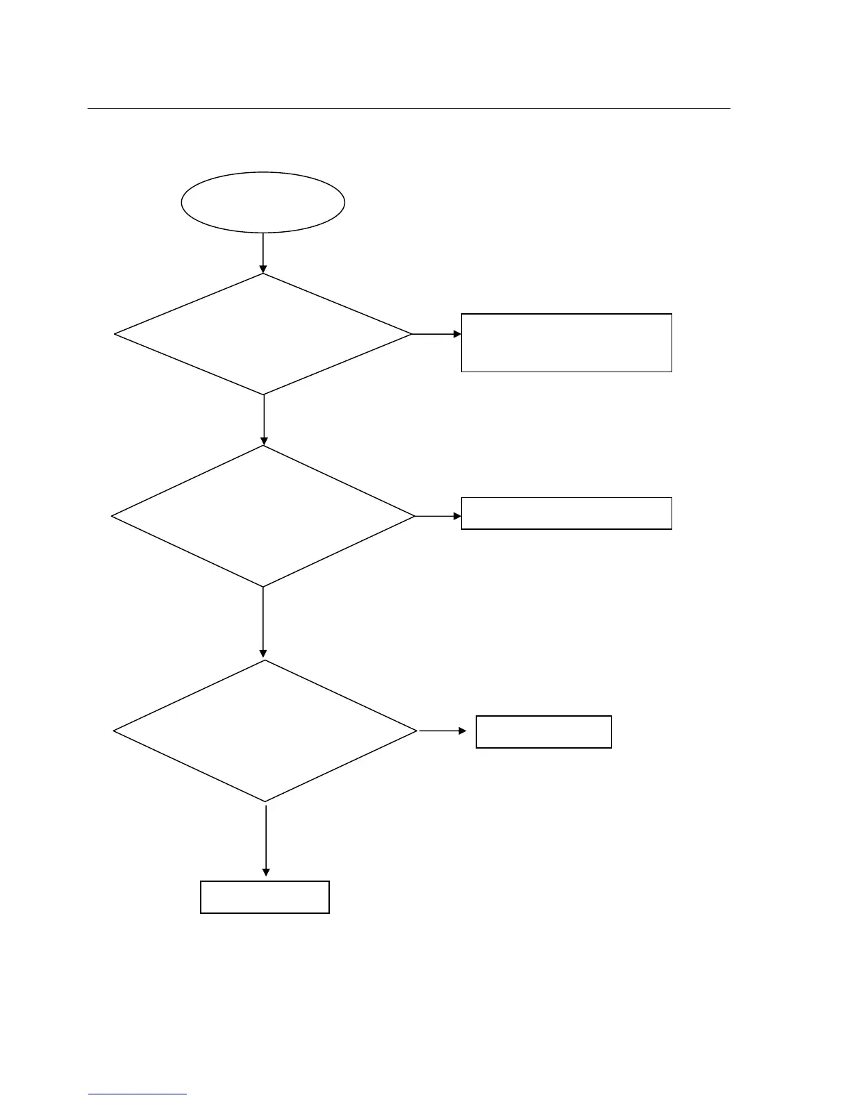
Replace the battery for remote
controller
Check whether the remote
controller’s battery is
exhausted or not.
Check the Power supply board part
Replace IR1
NO
Trouble shooting chart
5-2
Check the IR1 power supply is OK
Check whether bad solder exits on IR1'pins
Yes
Fix the connection
NO
Yes

Related product manuals