EasyManua.ls Logo

Philips CDR880 - CD-RW Disc Faultfinding Guide

Philips CDR880
65 pages
Print Icon
To Next Page IconTo Next Page
To Next Page IconTo Next Page
To Previous Page IconTo Previous Page
To Previous Page IconTo Previous Page
Loading...
21
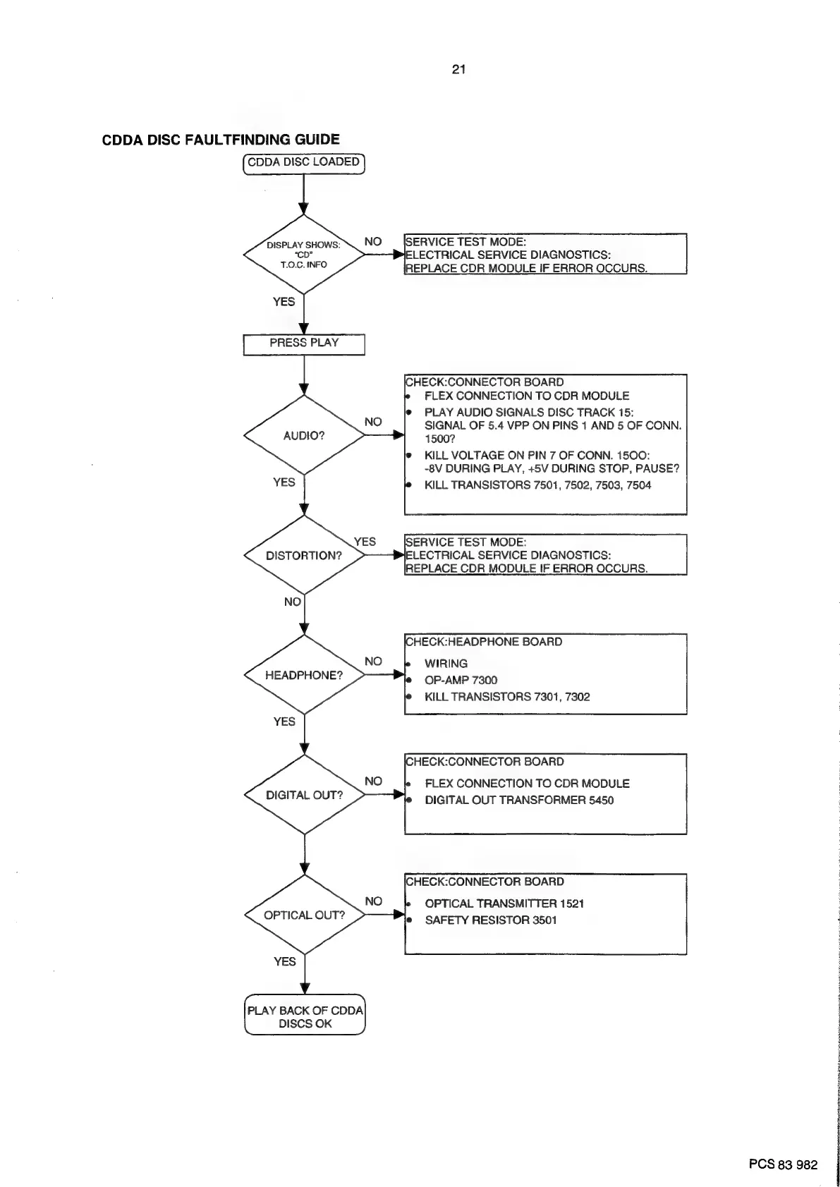
CDDA
DISC
FAULTFINDING
GUIDE
CDDA
DISC
LOADED
NO
ERVICE
TEST
MODE:
ELECTRICAL
SERVICE
DIAGNOSTICS:
REPLACE
CDR
MODULE
IF
ERROR
OCCURS.
DISPLAY
SHOWS:
T.O.C.
INFO
YES
PRESS
PLAY
HECK:CONNECTOR
BOARD
FLEX
CONNECTION
TO
CDR
MODULE
PLAY
AUDIO
SIGNALS
DISC
TRACK
15:
SIGNAL
OF
5.4
VPP
ON
PINS
1
AND
5
OF
CONN.
1500?
KILL
VOLTAGE
ON
PIN
7
OF
CONN.
1500:
-8V
DURING
PLAY,
+5V
DURING
STOP,
PAUSE?
KILL
TRANSISTORS
7501, 7502,
7503,
7504
DISTORTION?
ES
YE
ERVICE
TEST
MODE:
7
ELECTRICAL
SERVICE
DIAGNOSTICS:
NO
ES
YES
REPLACE
CDR
MODULE
IF
ERROR
OCCURS.
HECK:
HEADPHONE
BOARD
0
s
ie)
WIRING
le
~OP-AMP
7300
KILL
TRANSISTORS
7301,
7302
iO
Y
HEADPHONE?
Y
HECK:CONNECTOR
BOARD
le)
OPTICAL
TRANSMITTER
1521
OPTICAL
OUT?
@
SAFETY
RESISTOR
3501
PLAY
BACK
OF
CDDA
DISCS
OK
HECK:CONNECTOR
BOARD
FLEX
CONNECTION
TO
CDR
MODULE
DIGITAL
OUT
TRANSFORMER
5450
N
N
N
N
PCS
83
982
ene
we
ee
EE
et
eT
a
OE
ee
ee
ee
ee
ee

Other manuals for Philips CDR880

Related product manuals