EasyManua.ls Logo

Quincy Compressor QMA 75 - Section IX - Maintenance Schedule; Periodic Maintenance Tasks; Scheduled Maintenance Intervals

Quincy Compressor QMA 75
69 pages
Print Icon
To Next Page IconTo Next Page
To Next Page IconTo Next Page
To Previous Page IconTo Previous Page
To Previous Page IconTo Previous Page
Loading...
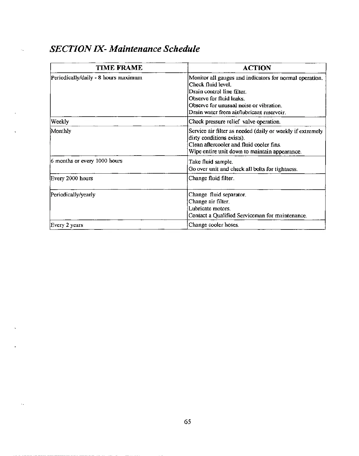
SECTION IX- Maintenance Schedule
TIME FRAME
ACTION
Periodically/daily -8 hours maximum
Monitor all gauges and indicators for normal operation.
Check fluid level.
Drain control line filter.
Observe for fluid leaks.
Observe for unusual noise or vibration.
Drain water from airflubricant reservoir.
Weekly
Check pressure relief valve operation.
Monthly
Service air filter as needed (daily or weekly if extremely
dirty conditions exists).
Clean aftercooler and fluid cooler fins.
Wipe entire unit down to maintain appearance.
6 months or every 1000 hours
Take fluid sample.
Go over unit and check all bolts for tightness.
y 2000 hours
Change fluid filter.
~dically/yearly
Change fluid separator.
Change air filter,
Lubricate motors.
Contact a Qualifkd Serviceman for maintenance.
Eve~ 2 years
Change cooler hoses.
65

Table of Contents

Related product manuals