EasyManua.ls Logo

Realistic PRO-2021 - Page 22

Realistic PRO-2021
46 pages
Print Icon
To Next Page IconTo Next Page
To Next Page IconTo Next Page
To Previous Page IconTo Previous Page
To Previous Page IconTo Previous Page
Loading...
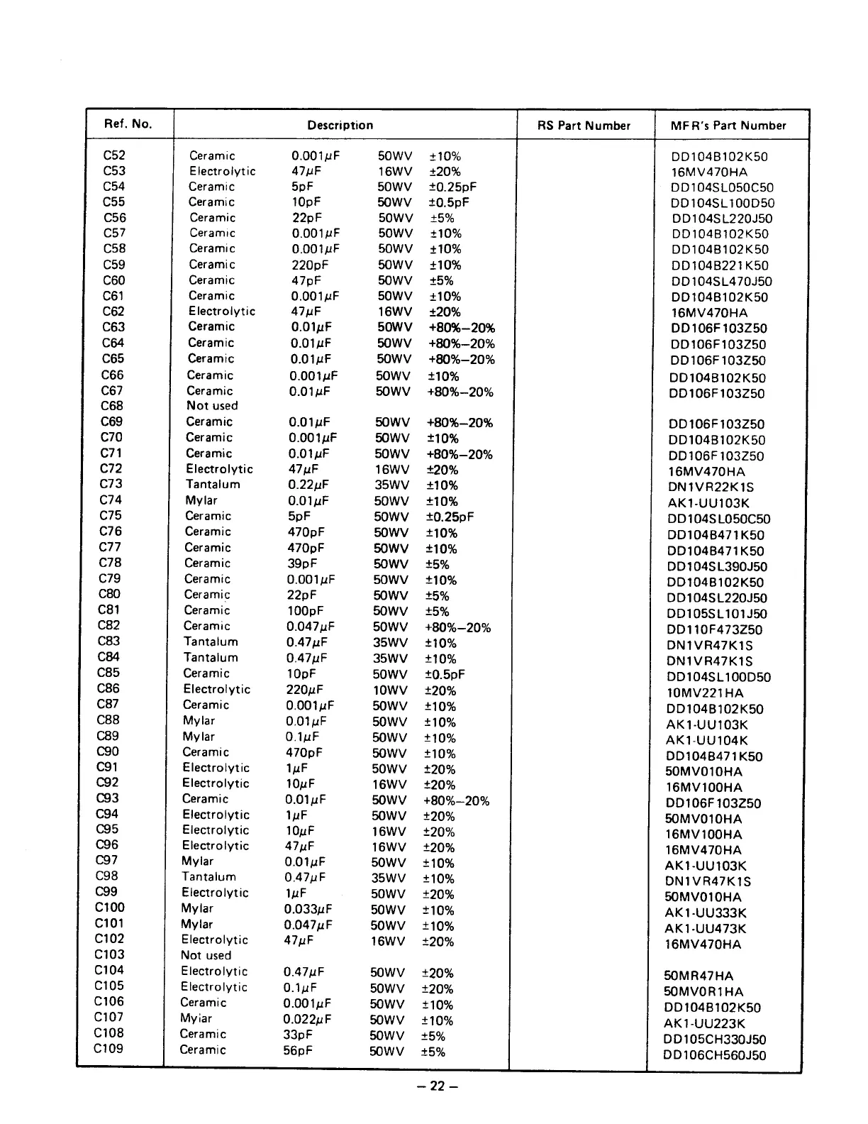
Ceramic
0.001иҒ
БОМУ
+10%
DD104B102K50
Electrolytic
47
uF
16WV
+20%
16MV470HA
Ceramic
5pF
50WV
+0.25pf
DD104SL050C50
Ceramic
10pF
50WV
:0.5pF
DD104SL100D50
Ceramic
22pF
50WV
+5%
DD104SL220J50
Ceramic
0.001иҒ
БОМУ
+10%
DD104B102K50
Ceramic
0.001иҒ
5DWV
+10%
DD104B102K50
Ceramic
220pF
50WV
+10%
DD104B221K50
Ceramic
47pF
БОМУМ
+5%
DD104SL470J50
Ceramic
0.0014F
50OWV
+10%
DD104B102K50
Electrolytic
47uF
16WV
+20%
16MV470HA
Ceramic
0.01pF
БОЛУ
+80%—20%
DD106F
103250
Ceramic
0.01дЕ
БОМУМ
+80%—20%
DD106F103Z50
Ceramic
0.01иҒ
БОМУМ
+80%—20%
DD106F
103250
Ceramic
0.001
uF
БОМУ
+10%
DD104B102K50
Ceramic
0.014F
50WV
+80%—20%
DD106F
103250
Not
used
Ceramic
0.01uF
50WV
+80%—20%
DD106F
103250
Ceramic
0.0014F
БОМУ
210%
DD104B102K50
Ceramic
0.01uF
БОМУМ
+80%—20%
DD106F
103250
Electrolytic
47uF
16WV
+20%
16MV470HA
Tantalum
0.22uF
35WV
+10%
DN1VR22K1S
Mylar
0.01
uF
50WV
+10%
AK1-UU103K
Ceramic
5pF
50WV
+0.25pF
DD104SL050C50
Ceramic
470pF
БОУУУ
210%
DD104B471K50
Ceramic
470pF
БОМУ
210%
DD104B471K50
Ceramic
39pF
5OWV
+5%
DD104SL390J50
Ceramic
0.001
uF
50WV
+10%
DD104B102K50
Ceramic
22pF
5OWV
+5%
DD104SL220J50
Ceramic
100pF
50WV
+5%
DD105SL101J50
Ceramic
0.047
uF
50WV
+80%—20%
DD110F473250
Tantalum
0.47
uF
35WV
+10%
DN1VR47K1S
Tantalum
0.47
uF
35WV
+10%
DN1VR47K1S
Ceramic
10pF
50WV
:0.5pF
DD104SL100D50
Electrolytic
220uF
10WV
+20%
10MV221HA
Ceramic
0.001иҒ
БОМУ
+10%
DD104B102K50
Mylar
0.01
uF
5OWV
210%
AK1-UU103K
My
lar
O.1uF
50WV
210%
AK1-UU104K
Ceramic
470pF
50WV
+10%
DD104B471K50
Electrolytic
1ШЕ
БОМУ
+20%
50MV010HA
Electrolytic
10uF
16WV
+20%
16MV100HA
Ceramic
0.01VL
50VV
+80%–20%
DD106F
103250
Electrolytic
1uF
БОМУ
+20%
50MV010HA
Electrolytic
10uF
16WV
+20%
16MV100HA
Electrolytic
47uF
16WV
+20%
16MV470HA
Mylar
0.01uF
БОМУМ
+10%
AK1-UU103K
Tantalum
0.47uF
35WV
+10%
DN1VR47K1S
Electrolytic
ШЕ
50WV
+20%
50MV010HA
Mylar
0.033шЕ
БОМУ
210%
AK1-UU333K
Mylar
0.047
uF
50WV
+10%
AK1-UU473K
Electrolytic
47
uF
16WV
+20%
16MV470HA
Not
used
Electrolytic
0.47
uF
50WV
+20%
50MR47HA
Electrolytic
O.1uF
50WV
+20%
50MVOR1HA
Ceramic
0.001uF
БОМУ
+10%
DD104B102K50
Myiar
0.022uF
50WV
310%
AK1-UU223K
Ceramic
33pF
50WV
+5%
DD105CH330J50
Ceramic
56pF
БОМУМ
+5%
DD106CH560J50
-22-

Related product manuals