EasyManua.ls Logo

Realistic PRO-2021 - Page 29

Realistic PRO-2021
46 pages
Print Icon
To Next Page IconTo Next Page
To Next Page IconTo Next Page
To Previous Page IconTo Previous Page
To Previous Page IconTo Previous Page
Loading...
Carbon
film
Carbon
film
Carbon
film
Carbon
біт
Carbon
film
Carbon
film
Carbon
film
Carbon
film
Carbon
film
Carbon
film
Carbon
film
Carbon
film
Carbon
film
Carbon
film
Carbon
film
Carbon
film
Carbon
film
Carbon
film
Carbon
film
Carbon
film
Carbon
film
Carbon
film
Carbon
film
Carbon
film
Not
used
Carbon
film
Carbon
film
Carbon
film
Carbon
film
Carbon
film
Carbon
film
Carbon
film
Carbon
film
Carbon
film
Carbon
film
Carbon
film
Carbon
film
Carbon
film
Carbon
film
Carbon
film
Carbon
біт
Carbon
film
Carbon
film
Carbon
film
Carbon
film
Carbon
film
Carbon
film
Carbon
film
Carbon
film
Carbon
film
Carbon
film
Carbon
film
Carbon
film
Carbon
film
Carbon
film
Carbon
film
Carbon
film
Description
330k
ohm
5.6k
ohm
100
ohm
10k
ohm
8.2k
ohm
10k
ohm
100k
ohm
10k
ohm
10k
ohm
22k
ohm
4.7k
ohm
10k
ohm
47k
ohm
47k
ohm
22k
ohm
100k
ohm
22k
ohm
22k
ohm
4.7k
ohm
6.8k
ohm
3.3k
ohm
2.2k
ohm
47k
ohm
10k
ohm
10
ohm
10
ohm
10k
ohm
4.7k
ohm
2.2k
ohm
560
ohm
4.7k
ohm
4.7k
ohm
560
ohm
22k
ohm
100
ohm
10k
ohm
6.8k
ohm
220k
ohm
22k
ohm
150k
ohm
2.2k
ohm
10k
ohm
1M
ohm
47k
ohm
100k
ohm
1M
ohm
22k
ohm
10k
ohm
10k
ohm
100
ohm
1
ohm
22k
ohm
33k
ohm
220
ohm
560
ohm
3.3
ohm
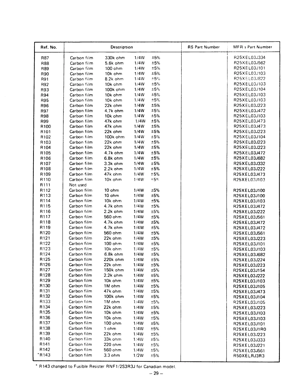
*
R143
changed
to
Fusible
Resister
RNF1/2S3R3J
for
Canadian
model.
29
RS
Part
Number
MFR
s
Part
Number
Ң25ХЕ103./334
Н25ХЕ103./562
R25XEL03J101
R25XEL03J103
R25XEL03J822
R25XEL03J103
R25XEL03J104
R25XEL03J103
R25XEL03J103
R25XEL03J223
R25XELO3J472
R25XEL03J103
R25XEL03J473
R25XEL03J473
R25XEL03J223
R25XEL03J104
R25XELO3J223
R25XEL03J223
R25XEL03J472
R25XEL03J682
R25XEL03J332
R25XEL03J222
R25XEL03J473
R25XEL03J103
R25XEL03J100
R25XEL03J100
R25XELO3J103
R25XEL03J472
R25XEL03J222
R25XEL03J561
R25XEL03J472
R25XEL03J472
R25XEL03J561
R25XEL03J223
R25XEL03J101
R25XEL03J103
R25XEL03J682
R25XEL03J224
R25XEL03J223
R25XEL03J154
R25XEL03J222
R25XEL03J103
R25XEL03J105
R25XEL03J473
R25XEL03J104
R25XEL03J105
R25XEL03J223
R25XEL03J103
R25XEL03J103
R25XEL03J101
R25XEL03J1RO
R25XEL03J223
R25XEL03J333
R25XEL03J221
R25XELO3J561
R5OXELRJ3R3

Related product manuals