EasyManua.ls Logo

Realistic STA-85 - Page 13

Realistic STA-85
35 pages
Print Icon
To Next Page IconTo Next Page
To Next Page IconTo Next Page
To Previous Page IconTo Previous Page
To Previous Page IconTo Previous Page
Loading...
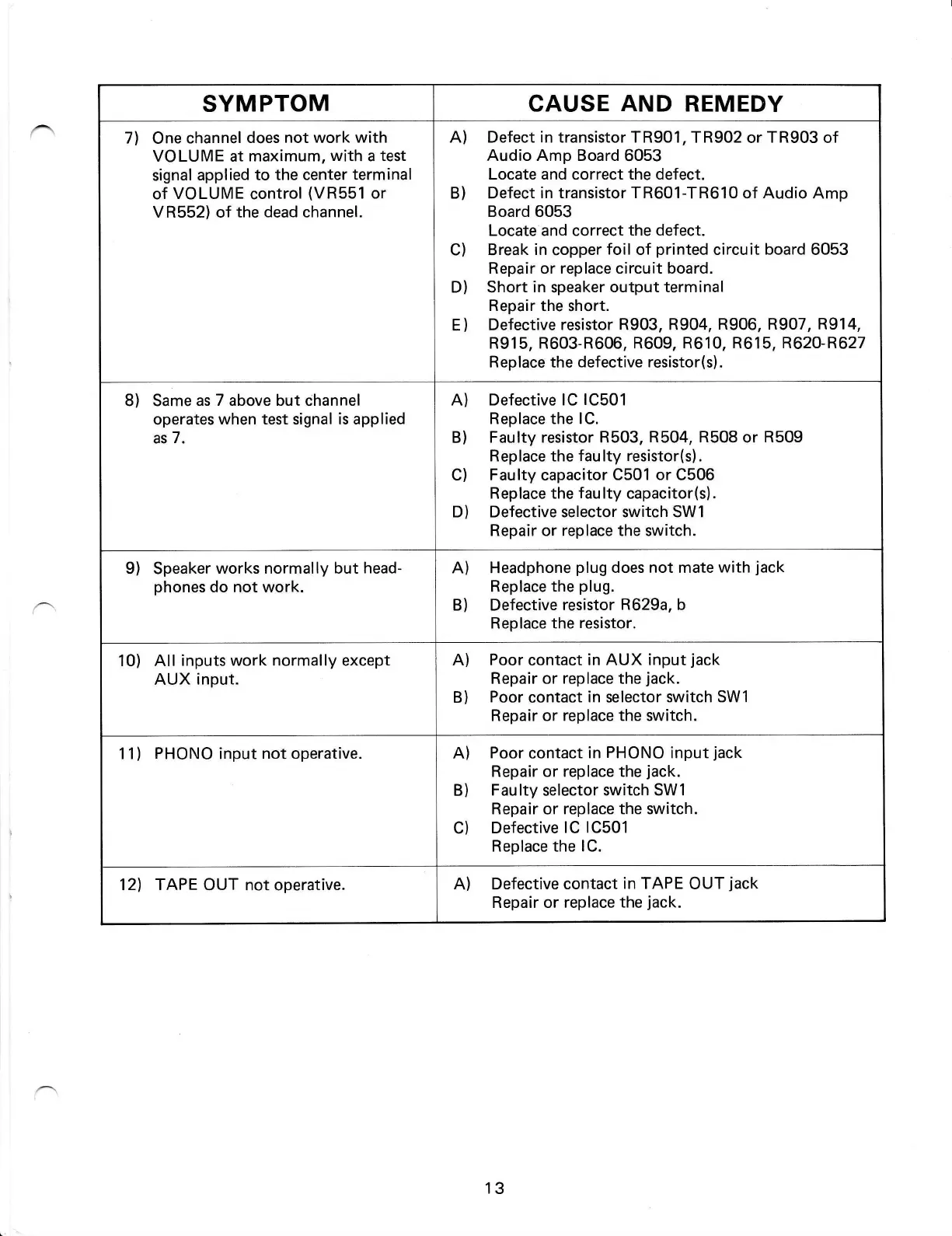
SYMPTOM CAUSE
AND
REMEDY
7l
One
channel
does
not
work
with
VOLUME at
maximum,
with
a
test
signal
applied
to the center
terminal
of
VOLUME
control
(VR551
or
VR552) of the
dead
channel.
A) Defect in transistor TR901, TR902
or
TR903
of
Audio Amp Board
6053
Locate and correct the defect.
B) Defect
in transistor TR601-TR610
of
Audio
Amp
Board 6053
Locate and correct
the defect.
C)
Break in
copper
foil
of
printed
circuit
board
6053
Repair or replace circuit board.
D) Short
in
speaker
output terminal
Repair the
short.
E)
Defective
resistor R903, R904,
R906, R907, R914,
R915, R603-R606, R609, R610,
R615, R620-R627
Replace the defective resistor(s).
8) Same as
7 above but channel
operates
when test signal is applied
as 7.
A)
Defective lC
1C501
Replace the lC.
B)
Faulty resistor R503,
R504, R508
or
R509
Replace the faulty
resistor(s).
C)
Faulty capacitor C501
or
C506
Replace the
faulty
capacitor(s).
D) Defective selector switch SW1
Repair or replace the switch.
9) Speaker
works normally but
head-
phones
do not work.
A) Headphone
plug
does not mate
with
jack
Replace
the
plug.
B) Defective
resistor
R629a,
b
Replace the
resistor.
10) All inputs
work normally except
AUX
input.
A)
Poor
contact
in AUX input
jack
Repair or replace the
jack.
B)
Poor
contact
in
selector
switch SW1
Repair or
replace the switch.
1 1)
PHONO
input
not operative.
A)
Poor
contact
in
PHONO
input
jack
Repair or replace the
jack.
B)
Faulty
selector
switch SW1
Repair or
replace the switch.
C)
Defective
lC 1C501
Replace the lC.
12l, TAPE OUT not
operative.
A) Defective
contact
in TAPE
OUT
jack
Repair or
replace the
jack.
13

Related product manuals