EasyManua.ls Logo

Samsung AJ024MCS4CH - Outdoor Unit Fan Error Troubleshooting

Samsung AJ024MCS4CH
92 pages
Print Icon
To Next Page IconTo Next Page
To Next Page IconTo Next Page
To Previous Page IconTo Previous Page
To Previous Page IconTo Previous Page
Loading...
4-42 Samsung Electronics
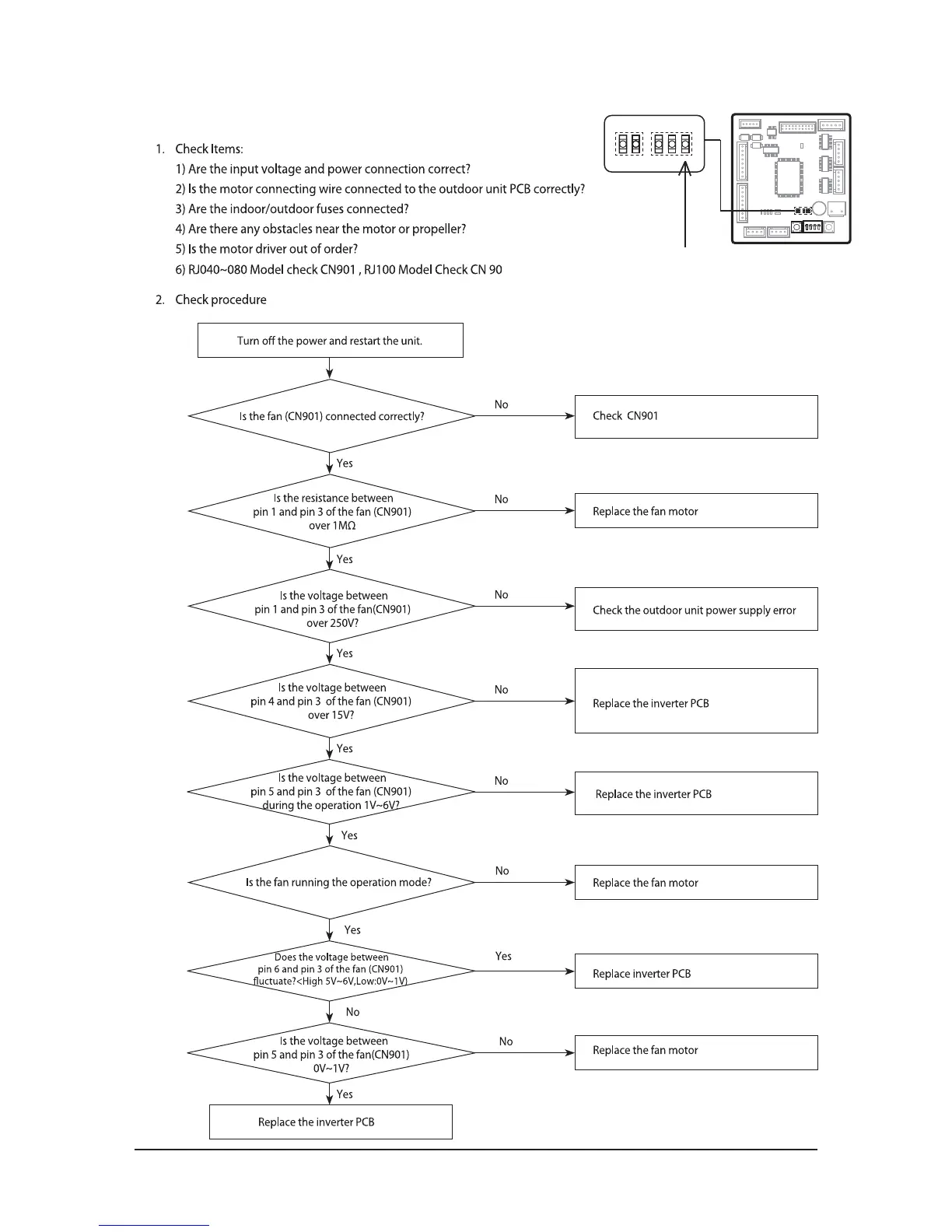
4-6-4 Outdoor unit fan error
1
ON DIP
234
Turn on the only this LED(Yellow). - E458
HUB PCB of Outdoor unit

Related product manuals