EasyManua.ls Logo

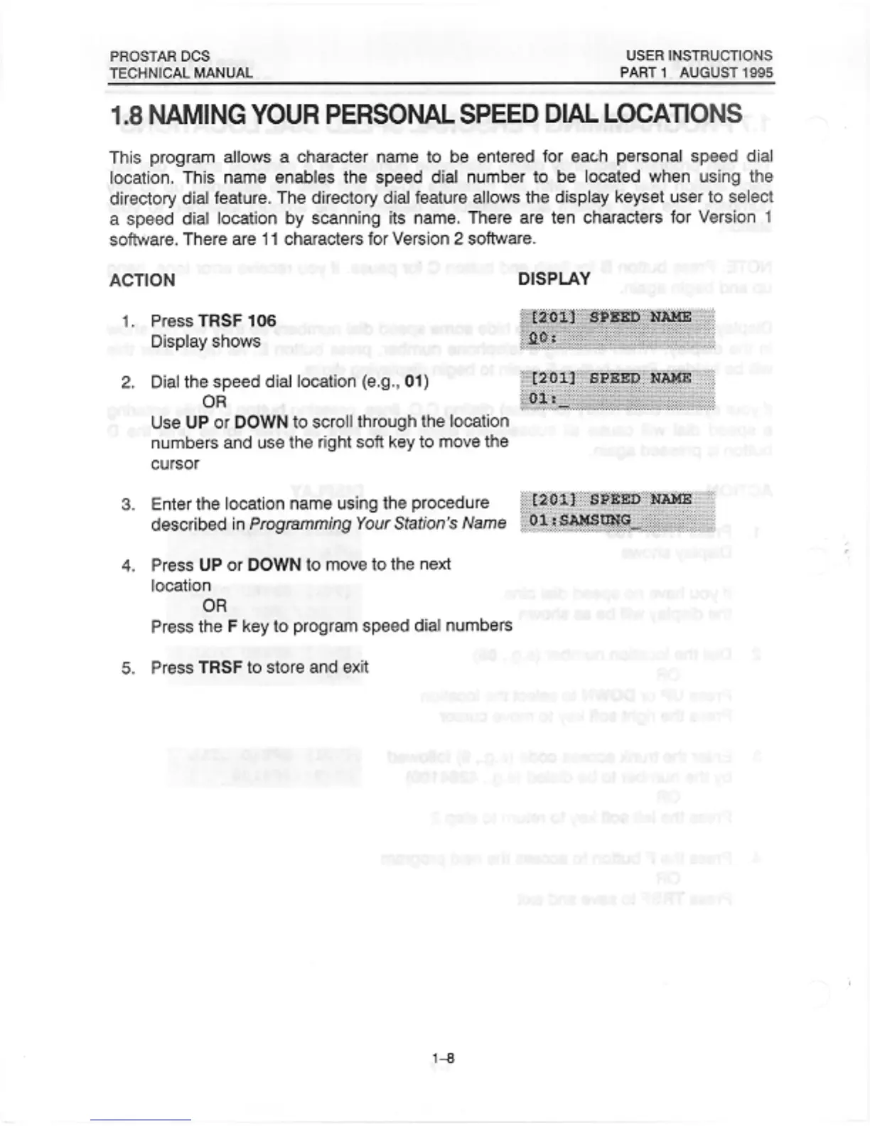
Samsung Prostar DCS - Naming Your Personal Speed Dial Locations

Samsung Prostar DCS
282 pages
Print Icon
To Next Page IconTo Next Page
To Next Page IconTo Next Page
To Previous Page IconTo Previous Page
To Previous Page IconTo Previous Page
Loading...

Table of Contents

Related product manuals